精英家教网 > 高中数学 > 题目详情
直线l与椭圆交于A(x1,y1),B(x2,y2)两点,已知=(ax1,by1),=(ax2,by2),若且椭圆的离心率,又椭圆经过点,O为坐标原点.
(1)求椭圆的方程;
(2)试问:△AOB的面积是否为定值?如果是,请给予证明;如果不是,请说明理由.
【答案】分析:(1)利用椭圆的离心率,椭圆经过点,建立方程组,可求几何量,从而可得椭圆的方程;
(2)分类讨论,再设直线方程代入椭圆方程,利用韦达定理及,即可得到△AOB的面积为定值.
解答:解:(1)∵椭圆的离心率,椭圆经过点
,∴a=2,b=1
∴椭圆的方程为…(4分)
(2)三角形的面积为定值1
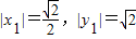
①当直线AB斜率不存在时,即x1=x2,y1=-y2
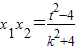
由已知=0,得,∴
又A(x1,y1)在椭圆上,所以,∴
,∴三角形的面积为定值.…(7分)
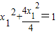
②当直线AB斜率存在时:设AB的方程为y=kx+t,联立方程组,∴(k2+4)x2+2ktx+t2-4=0
△>0即4k2t2-4(k2+4)(t2-4)>0,
,∴4x1x2+y1y2=0,∴4x1x2+(kx1+t)(kx2+t)=0,代入整理得:2t2-k2=4=
所以三角形的面积为定值. …(12分)
点评:本题考查椭圆的几何性质与标准方程,考查直线与椭圆的位置关系,考查三角形面积的计算,正确运用韦达定理是关键.
练习册系列答案
相关习题

科目:高中数学 来源: 题型:

椭圆
x2
a2
+
y2
b2
=1(a>b>0)
的左、右焦点分别为F1、F2,过F1的直线l与椭圆交于A、B两点.
(1)如果点A在圆x2+y2=c2(c为椭圆的半焦距)上,且|F1A|=c,求椭圆的离心率;
(2)若函数y=
2
+logmx
,(m>0且m≠1)的图象,无论m为何值时恒过定点(b,a),求
F2B
F2A
的取值范围.

查看答案和解析>>

科目:高中数学 来源: 题型:

已知椭圆方程
x2
a2
+
y2
2a-1
=1(1<a≤5)
,过其右焦点做斜率不为0的直线l与椭圆交于A,B两点,设在A,B两点处的切线交于点M(x0,y0),则M点的横坐标x0的取值范围是(  )

查看答案和解析>>

科目:高中数学 来源: 题型:

已知椭圆
x2
4
+
y2
3
=1
,左焦点为F,右顶点为C,过F作直线l与椭圆交于A,B两点,求△ABC面积最大值.

查看答案和解析>>

科目:高中数学 来源: 题型:

如图,F1,F2为椭圆C:
x2
a2
+
y2
b2
=1
(a>b>0)的左、右焦点,D,E是椭圆的两个顶点,椭圆的离心率e=
3
2
S△DEF2=1-
3
2
.若点M(x0,y0)在椭圆C上,则点N(
x0
a
y0
b
)称为点M的一个“椭点”.直线l与椭圆交于A,B两点,A,B两点的“椭点”分别为P,Q,已知以PQ为直径的圆经过坐标原点O.
(1)求椭圆C的标准方程;
(2)△AOB的面积是否为定值?若为定值,试求出该定值;若不为定值,请说明理由.

查看答案和解析>>

科目:高中数学 来源: 题型:

精英家教网已知椭圆
x2
a2
+y2=1(a≥2),直线l与椭圆交于A、B两点,M是线段AB的中点,连接OM并延长交椭圆于点C.
(Ⅰ)设直线AB与直线OM的斜率分别为k1、k2,且k1•k2=-
1
2
,求椭圆的离心率.
(Ⅱ)若直线AB经过椭圆的右焦点F,且四边形OACB是平行四边形,求直线AB斜率的取值范围.

查看答案和解析>>

同步练习册答案