精英家教网 > 高中数学 > 题目详情

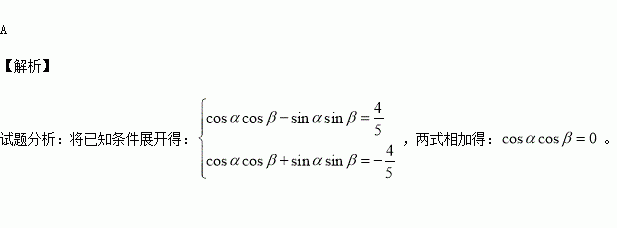
已知cos(α+β)=,cos(α﹣β)=﹣,则cosαcosβ的值为( )

A.0 B. C.0或 D.0或

练习册系列答案
相关习题

科目:高中数学 来源:2017届河北衡水中学高三摸底联考(全国卷)数学(文)试卷(解析版) 题型:选择题

已知为等差数列,为其前项和,公差为,若,则的值为( )

A. B. C. D.

查看答案和解析>>

科目:高中数学 来源:2017届湖北黄石市高三9月调研数学(理)试卷(解析版) 题型:填空题

已知变量满足约束条件,则的最大值为__________.

查看答案和解析>>

科目:高中数学 来源:2015-2016学年山东临沂十八中高一6月月考数学试卷(解析版) 题型:解答题

某中学调查了某班全部45名同学参加书法社团和演讲社团的情况,数据如下表:(单位:人)

参加书法社团

未参加书法社团

参加演讲社团

8

5

未参加演讲社团

2

30

(1)从该班随机选1名同学,求该同学至少参加一个社团的概率;

(2)在既参加书法社团又参加演讲社团的8名同学中,有5名男同学A1,A2,A3,A4,A5,3名女同学B1,B2,B3.现从这5名男同学和3名女同学中各随机选1人,求A1被选中且B1未被选中的概率.

查看答案和解析>>

科目:高中数学 来源:2015-2016学年山东临沂十八中高一6月月考数学试卷(解析版) 题型:选择题

已知=(k,2),=(﹣3,5),且夹角为钝角,则k的取值范围是( )

A.(,+∞) B.[,+∞] C.(﹣∞,) D.(﹣∞,]

查看答案和解析>>

科目:高中数学 来源:2015-2016学年山东临沂十八中高一6月月考数学试卷(解析版) 题型:选择题

圆(x+2)2+y2=4与圆(x﹣2)2+(y﹣1)2=9的位置关系为( )

A.内切 B.相交 C.外切 D.相离

查看答案和解析>>

科目:高中数学 来源:2015-2016学年陕西延川县中学高二下学期期中数学(理)试卷(解析版) 题型:填空题

命题:“存在实数,使”,则命题的否定 .

查看答案和解析>>

科目:高中数学 来源:2015-2016学年江苏徐州沛县中学高二下学期质检二数学(理)试卷(解析版) 题型:填空题

已知全集,则集合的真子集共有 个.

查看答案和解析>>

科目:高中数学 来源:2015-2016学年河北秦皇岛卢龙县高二下学期期末数学(理)试卷(解析版) 题型:选择题

记者要为5名志愿者和他们帮助的2位老人拍照,要求排成一排,两位老人相邻但不排在两端,不同的排法共有( )

A.1440种 B.960种 C.720种 D.480种

查看答案和解析>>

同步练习册答案