精英家教网 > 高中数学 > 题目详情
已知椭圆C1=1 (a>b>0)与双曲线C2:x2-=1 有公共的焦点,C2的一条渐近线与以C1的长轴为直径的圆相交于A,B两点.若C1恰好将线段AB三等分,则( )
A.a2=
B.a2=3
C.b2=
D.b2=2
【答案】分析:先由双曲线方程确定一条渐近线方程为y=2x,根据对称性易AB为圆的直径且AB=2a,利用椭圆与双曲线有公共的焦点,得方程a2-b2=5;设C1与y=2x在第一象限的交点的坐标为(x,2x),代入C1的方程得:;对称性知直线y=2x被C1截得的弦长=2x,根据C1恰好将线段AB三等分得:2x=,从而可解出a2,b2的值,故可得结论
解答:解:由题意,C2的焦点为(±,0),一条渐近线方程为y=2x,根据对称性易AB为圆的直径且AB=2a
∴C1的半焦距c=,于是得a2-b2=5   ①
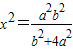
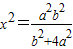
设C1与y=2x在第一象限的交点的坐标为(x,2x),代入C1的方程得:②,
由对称性知直线y=2x被C1截得的弦长=2x,
由题得:2x=,所以    ③
由②③得a2=11b2  ④
由①④得a2=5.5,b2=0.5  
故选C
点评:本题以椭圆,双曲线为载体,考查直线与圆锥曲线的位置关系,解题思路清晰,但计算有点烦琐,需要小心谨慎.
练习册系列答案
相关习题

科目:高中数学 来源: 题型:

已知椭圆C1=1,抛物线C2:(y-m)2=2px(p>0),且C1C2的公共弦AB过椭圆C1的右焦点.

(1)当ABx轴时,求mp的值,并判断抛物线C2的焦点是否在直线AB上;

(2)若p=且抛物线C2的焦点在直线AB上,求m的值及直线AB的方程.

查看答案和解析>>

科目:高中数学 来源:2012-2013学年浙江省宁波市慈溪中学高三(上)第一次月考数学试卷(文科)(解析版) 题型:选择题

已知椭圆C1=1 (a>b>0)与双曲线C2:x2-=1 有公共的焦点,C2的一条渐近线与以C1的长轴为直径的圆相交于A,B两点.若C1恰好将线段AB三等分,则( )
A.a2=
B.a2=3
C.b2=
D.b2=2

查看答案和解析>>

科目:高中数学 来源:2011-2012学年辽宁省本溪一中、庄河高中联考高三(上)期末数学试卷(理科)(解析版) 题型:解答题

已知椭圆C1+=1(a>b>0)的长轴长为4,离心率为,F1、F2分别为其左右焦点.一动圆过点F2,且与直线x=-1相切.
(Ⅰ)(ⅰ)求椭圆C1的方程; (ⅱ)求动圆圆心C轨迹的方程;
(Ⅱ)在曲线上C有两点M、N,椭圆C1上有两点P、Q,满足MF2共线,共线,且=0,求四边形PMQN面积的最小值.

查看答案和解析>>

科目:高中数学 来源:2012-2013学年吉林省长春十一高高二(下)期初数学试卷(理科)(解析版) 题型:解答题

已知椭圆C1=1(a>b>0)的左、右焦点分别为F1、F2,其中F2也是抛物线C2:y2=4x的焦点,M是C1与C2在第一象限的交点,且
(I)求椭圆C1的方程;   
(Ⅱ)已知菱形ABCD的顶点A、C在椭圆C1上,顶点B、D在直线7x-7y+1=0上,求直线AC的方程.

查看答案和解析>>

科目:高中数学 来源:2012-2013学年广东省中山一中等六校联考高三(上)12月月考数学试卷(理科)(解析版) 题型:解答题

已知椭圆C1+=1(a>b>0)的离心率为,直线l:x-y+=0与椭圆C1相切.
(1)求椭圆C1的方程;
(2)设椭圆C1的左焦点为F1,右焦点为F2,直线l1过点F1且垂直与椭圆的长轴,动直线l2垂直于直线l1于点P,线段PF2的垂直平分线交l2于点M,求点M的轨迹C2的方程;
(3)若A(x1,2),B(x2,y2),C(x,y)是C2上不同的点,且AB⊥BC,求实数y的取值范围.

查看答案和解析>>

同步练习册答案