精英家教网 > 高中数学 > 题目详情

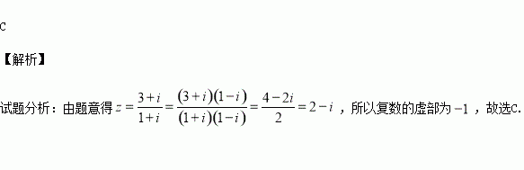
复数的虚部为( )

A. B. C. D.

练习册系列答案
相关习题

科目:高中数学 来源:2015-2016学年重庆市高二下期中理科数学试卷(解析版) 题型:选择题

已知的展开式中含的项的系数为,则( )

A. B. C. D.

查看答案和解析>>

科目:高中数学 来源:2015-2016学年河北省高二下期中理科数学试卷(解析版) 题型:选择题

设曲线的参数方程为为参数),直线的方程为,则曲线上到直线距离为1的点的个数为( )

A.1 B.2 C.3 D.4

查看答案和解析>>

科目:高中数学 来源:2015-2016学年贵州省高二下期中文科数学试卷(解析版) 题型:填空题

若两个正实数满足,且不等式有解,则实数的取值范围是

查看答案和解析>>

科目:高中数学 来源:2015-2016学年贵州省高二下期中文科数学试卷(解析版) 题型:选择题

中角所对应满足,则面积为( )

A. B. C. D.

查看答案和解析>>

科目:高中数学 来源:2015-2016学年贵州省高二下期中理科数学试卷(解析版) 题型:解答题

已知为数列的前项和,,且.

(1)证明数列是等差数列,并求其前项和

(2)设数列满足,求证:.

查看答案和解析>>

科目:高中数学 来源:2015-2016学年贵州省高二下期中理科数学试卷(解析版) 题型:填空题

查看答案和解析>>

科目:高中数学 来源:2015-2016学年安徽师大附中高二下期中文科数学试卷(解析版) 题型:解答题

(1)已知命题“不等式的解集为”,命题是减函数”.若“”为真命题,同时“”为假命题,求实数的取值范围;

(2)若,且,求证:

查看答案和解析>>

科目:高中数学 来源:2016届山东省高三第一次模拟文科数学试卷(解析版) 题型:解答题

已知正项等比数列,首项,前项和为,且成等差数列.

(1)求数列的通项公式;

(2)数列的前项和为,若对任意正整数,都有,求的最小值.

查看答案和解析>>

同步练习册答案