精英家教网 > 高中数学 > 题目详情

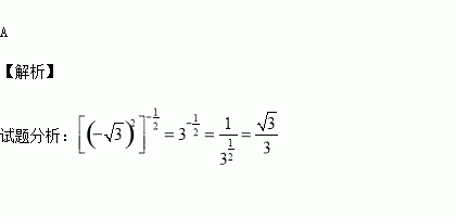
化简的结果是( )

A. B. C. D.

练习册系列答案
相关习题

科目:高中数学 来源:2016-2017学年广西陆川县中学高二理12月月考数学试卷(解析版) 题型:选择题

已知函数,若对,使得,则的取值范围是( )

A. B. C. D.

查看答案和解析>>

科目:高中数学 来源:2017届重庆市高三文上学期期中数学卷(解析版) 题型:填空题

函数存在与直线平行的切线,则实数的取值范围是__________.

查看答案和解析>>

科目:高中数学 来源:2016-2017学年陕西志丹县高级中学高一上学期期中数学试卷(解析版) 题型:解答题

对函数y=x2-4x+6,

(1)指出函数图像的开口方向、对称轴方程、顶点坐标;

(2)说明图像由y=x2的图像经过怎样平移得来;

(3)求函数的最大值或最小值 .

查看答案和解析>>

科目:高中数学 来源:2016-2017学年陕西志丹县高级中学高一上学期期中数学试卷(解析版) 题型:选择题

已知函数,则( )

A.4 B.3 C.2 D.1

查看答案和解析>>

科目:高中数学 来源:2016-2017学年黑龙江哈师大附中高一上学期期中数学试卷(解析版) 题型:解答题

已知二次函数,且.

(Ⅰ)求函数的解析式;

(Ⅱ)若函数 ,求函数的最值.

查看答案和解析>>

科目:高中数学 来源:2016-2017学年黑龙江哈师大附中高一上学期期中数学试卷(解析版) 题型:填空题

函数的值域为

查看答案和解析>>

科目:高中数学 来源:2016-2017学年河北武邑中学高一11月月考数学试卷(解析版) 题型:解答题

已知圆的圆心为,过点且斜率为的直线与圆相交于不同两点,求实数的取值范围.

查看答案和解析>>

科目:高中数学 来源:2016-2017学年河北武邑中学高二理周考10.9数学试卷(解析版) 题型:解答题

在直角坐标系中,曲线与直线)交于两点.

(1)当时,分别求在点处的切线方程;

(2)轴上是否存在点,使得当变动时,总有?说明理由.

查看答案和解析>>

同步练习册答案