精英家教网 > 高中数学 > 题目详情

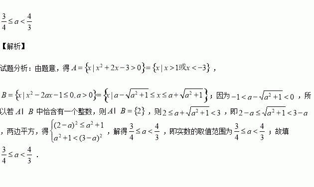
已知,若中恰含有一个整数,则实数的取值范围是

练习册系列答案
相关习题

科目:高中数学 来源:2016届辽宁省五校协作体高三上学期期初考试文科数学试卷(解析版) 题型:解答题

(本小题满分12分)如图,三棱台中,分别为的中点.

(Ⅰ)求证:平面

(Ⅱ)若求证:平面平面

查看答案和解析>>

科目:高中数学 来源:2015-2016学年西藏日喀则一中高二10月月考理科数学卷(解析版) 题型:解答题

设函数

(1)若函数时取得极小值,求的值;

(2)若函数在定义域上是单调函数,求的取值范围.

查看答案和解析>>

科目:高中数学 来源:2015-2016学年辽宁省高二上10月月考数学试卷(解析版) 题型:选择题

已知平面向量满足,且,则向量的夹角为 ( )

A. B. C. D.

查看答案和解析>>

科目:高中数学 来源:2015-2016学年湖南师大附中高二上第一次段测文科数学卷(解析版) 题型:选择题

已知a、b、c均为单位向量,且满足,则的最大值是( )

A. B. C. D.

查看答案和解析>>

科目:高中数学 来源:2015-2016学年河北省高一10月月考数学试卷(解析版) 题型:选择题

已知集合,且,则实数的最大值是( )

A.1 B.-1 C.0 D.2

查看答案和解析>>

科目:高中数学 来源:2015-2016学年河北衡水中学高二上二调考试文科数学试卷(解析版) 题型:选择题

定义个正数的“均倒数”,若已知数列的前项的“均倒数”为,又,则

A. B. C. D.

查看答案和解析>>

科目:高中数学 来源:2015-2016学年广东省高二10月月考数学试卷(解析版) 题型:选择题

如图,已知直三棱柱ABC—A1B1C1,点P、Q分别在侧棱AA1和CC1上,AP=C1Q,则平面BPQ把三棱柱分成两部分的体积比为( )

A.2:1 B.3:1 C.3:2 D.4:3

查看答案和解析>>

科目:高中数学 来源:2016届江西省高三10月月考理科数学试卷(解析版) 题型:解答题

(本小题满分12分)已知,且函数

(1)设方程内有两个零点,求的值;

(2)若把函数的图像向左平移个单位,再向上平移2个单位,得函数图像,求函数上的单调增区间.

查看答案和解析>>

同步练习册答案