精英家教网 > 高中数学 > 题目详情

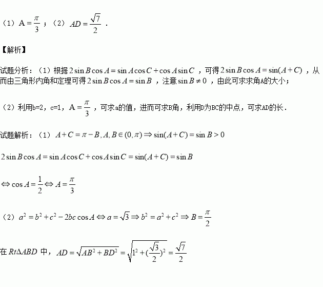
(本小题满分12分)设的内角所对的边为

(1)求角的大小;

(2)若的中点,求的长.

练习册系列答案
相关习题

科目:高中数学 来源:2015-2016学年辽宁省大连市高二上期中文科数学试卷(解析版) 题型:选择题

焦点为,且与双曲线有相同的渐近线的双曲线方程是

(A) (B)

(C) (D)

查看答案和解析>>

科目:高中数学 来源:2015-2016学年河北省邢台市高二上第一次月考数学试卷(解析版) 题型:解答题

长方体中,,,点中点.

(1)求证: 平面

(2)求证:平面

查看答案和解析>>

科目:高中数学 来源:2016届重庆市高三上学期第三次月考文科数学试卷(解析版) 题型:解答题

(本小题满分12分) 已知函数

(1)当时,求函数的单调区间和极值;

(2)对任意给定的正实数,曲线上是否存在两点,使得△是以为直角顶点的直角三角形,且此三角形斜边中点在轴上?

查看答案和解析>>

科目:高中数学 来源:2016届重庆市高三上学期第三次月考理科数学试卷(解析版) 题型:填空题

的面积为,则的取值范围是

查看答案和解析>>

科目:高中数学 来源:2016届云南省玉溪市高三上学期期中理科数学试卷(解析版) 题型:解答题

(本小题满分12分)已知函数在点处的切线方程为

(1)求函数的解析式;

(2)设时,求证:

(3)已知,求证:

查看答案和解析>>

科目:高中数学 来源:2016届辽宁省葫芦岛市高三上学期期中文科数学试卷(解析版) 题型:填空题

满足约束条件,若目标函数的最大值为,则的图象向右平移后的表达式为___________.

查看答案和解析>>

科目:高中数学 来源:2016届黑龙江省牡丹江市高三上学期期中文科数学试卷(解析版) 题型:选择题

为两条不同的直线,为两个不同的平面.下列命题中,正确的是( )

A.若所成的角相等,则

B.若,则

C.若,则

D.若,则

查看答案和解析>>

科目:高中数学 来源:2015-2016学年吉林实验中学高二上学期期中文科数学试卷(解析版) 题型:选择题

直线(a+2)x+(1-a)y-3=0与(a-1)x+(2a+3)y+2=0互相垂直,则a的值为

A.±1 B.1 C.-1 D.-

查看答案和解析>>

同步练习册答案