精英家教网 > 高中数学 > 题目详情

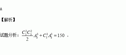
淮北一中有5名优秀毕业生到市内一所初中的3个班去作学习经验交流,则每个班至少去一名同学的不同分派方法种数为( )

A.150 B.180 C.200 D.280

练习册系列答案
相关习题

科目:高中数学 来源:2016届吉林省高三五模理科数学试卷(解析版) 题型:选择题

边长为的等边三角形中心为是边上的动点,则( )

A.有最大值 B.有最小值 C.是定值 D.与的位置有关

查看答案和解析>>

科目:高中数学 来源:2016届安徽省高三最后一卷文科数学试卷(解析版) 题型:填空题

已知向量,若,则___________.

查看答案和解析>>

科目:高中数学 来源:2016届安徽省高三最后一卷理科数学试卷(解析版) 题型:解答题

已知抛物线的标准方程为为抛物线上一动点,为其对称轴上一点,直线与抛物线的另一个交点为.当为抛物线的焦点且直线与其对称轴垂直时,的面积为18.

(1)求抛物线的标准方程;

(2)记,若值与点位置无关,则称此时的点为“稳定点”,试求出所有“稳定点”,若没有,请说明理由.

查看答案和解析>>

科目:高中数学 来源:2016届安徽省高三最后一卷理科数学试卷(解析版) 题型:填空题

若变量满足约束条件,且的最小值为-6,则_______________.

查看答案和解析>>

科目:高中数学 来源:2016届安徽省高三最后一卷理科数学试卷(解析版) 题型:选择题

已知,则( )

A. B. C. D.

查看答案和解析>>

科目:高中数学 来源:2015-2016学年河北邢台一中高二6月月考理科数学试卷(解析版) 题型:解答题

已知函数

(Ⅰ)当时,求的解集;

(Ⅱ)若的解集包含集合,求实数的取值范围.

查看答案和解析>>

科目:高中数学 来源:2015-2016学年河北邢台一中高二6月月考理科数学试卷(解析版) 题型:选择题

已知全集为,且集合,则等于 ( )

A. B. C. D.

查看答案和解析>>

科目:高中数学 来源:2015-2016学年河北省高二6月月考数学试卷(解析版) 题型:选择题

不等式的解集为( )

A. B.

C. D.

查看答案和解析>>

同步练习册答案