精英家教网 > 高中数学 > 题目详情

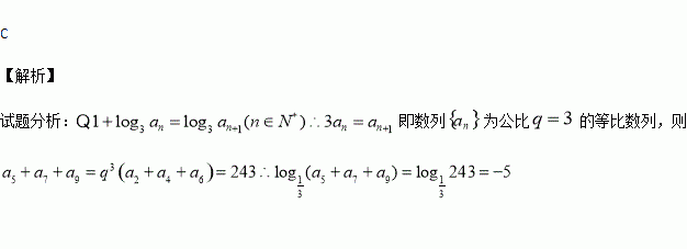
已知数列满足,则( )

A. B. C. D.

练习册系列答案
相关习题

科目:高中数学 来源:2015-2016学年广东省普宁市高二上期中考试理科数学试卷(解析版) 题型:解答题

(本小题14分)已知直线与椭圆相交于A、B两点,

且线段AB的中点在直线上.

(1)求此椭圆的离心率;

(2)若椭圆的右焦点关于直线的对称点的在圆上,求此椭圆的方程.

查看答案和解析>>

科目:高中数学 来源:2015-2016学年安徽省阜阳市高二上第一次调研考理科数学试卷(解析版) 题型:选择题

不等式组的解集记为D,有下面四个命题:

p1:?(x,y)∈D,x+2y≥-2,

p2:?(x,y)∈D,x+2y≥2,

p3:?(x,y)∈D,x+2y≤3,

p4:?(x,y)∈D,x+2y≤-1.

其中的真命题是( )

A.p2,p3 B.p1,p2

C.p1,p4 D.p1,p3

查看答案和解析>>

科目:高中数学 来源:2016届山东师大附中高三上学期二模理科数学试卷(解析版) 题型:选择题

设函数下列结论正确的是( )

A.

B.

C.上递减,无极值

D.上递增,无极值

查看答案和解析>>

科目:高中数学 来源:2016届黑龙江哈尔滨六中高三上期中文科数学试卷(解析版) 题型:选择题

已知,其中为虚数单位,则( )

A. B.1 C.2 D.3

查看答案和解析>>

科目:高中数学 来源:2016届福建省高三第一次月考文科数学试卷(解析版) 题型:选择题

函数f(x)=2sin(ωx+φ)(ω>0,-<φ<)的部分图象如图所示,则这个函数的周期和初相分别是( )

A.2,- B.2,-

C.,- D.,-

查看答案和解析>>

科目:高中数学 来源:2016届福建省高三第一次月考理科数学试卷(解析版) 题型:选择题

下列结论错误的是 ( )

A.命题“若,则”的逆否命题为“若

B.“”是“”的充分不必要条件

C.已知命题 “若,则方程有实根”,则命题的否定为真命题

D.命题“若,则”的否命题是“若源:Z|xx|k.Com]

查看答案和解析>>

科目:高中数学 来源:2015-2016学年四川成都七中高二10月段考理科数学试卷(解析版) 题型:解答题

己知的顶点边上的中线所在的直线方程为边上的高所在直线方程为,求:

(1)直线方程

(2)顶点的坐标

(3)直线的方程

查看答案和解析>>

科目:高中数学 来源:2014-2015学年浙江省嵊州市高二下期末检测理科数学B卷(解析版) 题型:解答题

(本小题满分15分)

设数列满足

(Ⅰ)求

(Ⅱ)设,求证:数列最小.

查看答案和解析>>

同步练习册答案