精英家教网 > 高中数学 > 题目详情

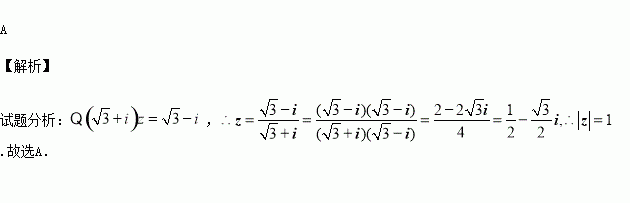
为虚数单位,若,则( )

A. B. C. D.

练习册系列答案
相关习题

科目:高中数学 来源:2016届福建省高三下学期周考六理科数学试卷(解析版) 题型:选择题

设命题,则为( )

A. B.

C. D.

查看答案和解析>>

科目:高中数学 来源:2016届安徽师大附中高三最后一卷理科数学试卷(解析版) 题型:选择题

已知,则大小关系为( )

A. B.

C. D.

查看答案和解析>>

科目:高中数学 来源:2016届安徽师大附中高三最后一卷文科数学试卷(解析版) 题型:填空题

在三张奖券中有一、二等奖各一张,另一张无奖,甲乙两人各抽取一张(不放回),两人都中奖的概率为

查看答案和解析>>

科目:高中数学 来源:2016届安徽师大附中高三最后一卷文科数学试卷(解析版) 题型:选择题

如图,程序框图的算法思路源于古希腊数学家欧几里得的“辗转相除法”,执行该程序框图,若输入的分别为,则输出的( )

A. B. C. D.

查看答案和解析>>

科目:高中数学 来源:2015-2016学年吉林省高一下期中数学试卷(解析版) 题型:解答题

在锐角△ABC中,分别是角所对的边,且

(Ⅰ)求角的大小;

(Ⅱ)若,求△ABC面积的最大值.

查看答案和解析>>

科目:高中数学 来源:2015-2016学年吉林省高一下期中数学试卷(解析版) 题型:选择题

已知函数,若数列项和为,则的值为( )

(A) (B) (C) (D)

查看答案和解析>>

科目:高中数学 来源:2016届江西省高三第三次模拟文科数学试卷(解析版) 题型:解答题

如图所示,菱形与正三角形所在平面互相垂直,平面,且.

(1)求证:平面

(2)若,求几何体的体积.

查看答案和解析>>

科目:高中数学 来源:2016届重庆一中高三下学期高考适应性考试理科数学试卷(解析版) 题型:选择题

在等比数列中,,则( )

A. B. C. D.

查看答案和解析>>

同步练习册答案