精英家教网 > 高中数学 > 题目详情
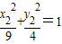
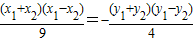
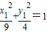
椭圆,斜率为k的直线l与椭圆相交于点M,N,点A是线段MN的中点,直线OA(O为坐标原点)的斜率是k′,那么kk′=   
【答案】分析:设出直线l与椭圆的两个交点的坐标,把子线l的斜率和OA的斜率用两点的坐标来表示,把两点的坐标代入椭圆方程,作差后整理即可得到答案.
解答:解:设M(x1,y1),N(x2,y2),

因为M,N在椭圆上,所以

①-②得,


故答案为
点评:本题考查了直线与圆锥曲线的关系,涉及弦中点问题,常用的办法是点差法.此题是中档题.
练习册系列答案
相关习题

科目:高中数学 来源: 题型:

设椭圆C:
x2
a2
+
y2
b2
=1(a>b>0)
的左、右焦点分别为F1、F2,上顶点为A,△AF1F2为正三角形,且以AF2为直径的圆与直线y=
3
x+2
相切.
(Ⅰ)求椭圆C的方程;
(Ⅱ)在(Ⅰ)的条件下,过右焦点F2作斜率为k的直线l与椭圆C交于M、N两点,在x轴上是否存在点P(m,0),使得以PM、PN为邻边的平行四边形是菱形?若存在,求实数m的取值范围,若不存在,请说明理由.

查看答案和解析>>

科目:高中数学 来源: 题型:

精英家教网设椭圆C:
x2
a2
+
y2
b2
=1(a>b>0)
的左、右焦点分别为F1,F2,上顶点为A,过点A与AF2垂直的直线交x轴负半轴于点Q,且2
F1F2
+
F2Q
=
0

(1)求椭圆C的离心率;
(2)若过A、Q、F2三点的圆恰好与直线l:x-
3
y-3=0
相切,求椭圆C的方程;
(3)在(2)的条件下,过右焦点F2作斜率为k的直线l与椭圆C交于M、N两点,在x轴上是否存在点P(m,0)使得以PM,PN为邻边的平行四边形是菱形,如果存在,求出m的取值范围,如果不存在,说明理由.

查看答案和解析>>

科目:高中数学 来源: 题型:

已知椭圆
x2
a2
+
y2
b2
=1(a>b>0)的一个顶点为A(0,1),且它的离心率与双曲线
x2
3
-y2=1的离心率互为倒数.
(1)求椭圆的方程;
(2)过点A且斜率为k的直线l与椭圆相交于A、B两点,点M在椭圆上,且满足
OM
=
1
2
OA
+
3
2
OB
,求k的值.

查看答案和解析>>

科目:高中数学 来源: 题型:

已知B(-1,1)是椭圆
x2
a2
+
y2
b2
=1
(a>b>0)上一点,且点B到椭圆的两个焦点距离之和为4;
(1)求椭圆方程;
(2)设A为椭圆的左顶点,直线AB交y轴于点C,过C作斜率为k的直线l交椭圆于D,E两点,若
S△CBD
S△CAE
=
1
6
,求实数k的值.

查看答案和解析>>

同步练习册答案