精英家教网 > 高中数学 > 题目详情

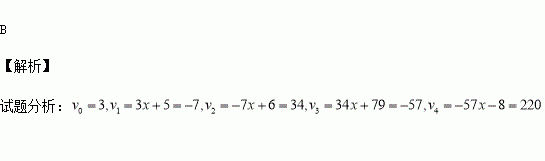
用秦九韶算法求多项式

的值为( )

A.-57 B.220 C.-845 D.3392

练习册系列答案
相关习题

科目:高中数学 来源:2016届河南省原名校高三上学期第一次联考理科数学试卷(解析版) 题型:选择题

,已知函数的定义域是,值域是,若函数有唯一的零点,则( )

A.2 B. C.1 D.0

查看答案和解析>>

科目:高中数学 来源:2015-2016学年广西桂林中学高二上期中考试文科数学试卷(解析版) 题型:选择题

命题“”的否定为( )

A. B.

C. D.

查看答案和解析>>

科目:高中数学 来源:2015-2016学年陕西省高二上学期期中考试数学试卷(解析版) 题型:选择题

已知等比数列的公比,则等于( )

A. B. C. D.

查看答案和解析>>

科目:高中数学 来源:2015-2016学年辽宁省大连市高二10月月考数学试卷(解析版) 题型:填空题

某初级中学有学生270人,其中一年级108人,二、三年级各81人,现要利用抽样方法抽取10人参加某项调查,考虑选用简单随机抽样、分层抽样和系统抽样三种方案,使用简单随机抽样和分层抽样时,将学生按一、二、三年级依次统一编号为1,2,…,270;使用系统抽样时,将学生统一随机编号为1,2,…,270,并将整个编号依次分为10段.如果抽得号码有下列四种情况:

①7,34,61,88,115,142,169,196,223,250;

②5,9,100,107,111,121,180,195,200,265;

③11,38,65,92,119,146,173,200,227,254;

④27,54,81,128,135,162,189,216,243,270;

关于上述样本的下列结论中,可能为系统抽样的是 ;可能为分层抽样的是

查看答案和解析>>

科目:高中数学 来源:2015-2016学年江苏省泰兴市高二上学期期中考试数学试卷(解析版) 题型:填空题

函数的单调递增区间是____

查看答案和解析>>

科目:高中数学 来源:2015-2016学年湖北省枣阳市高二10月月考理科数学试卷(解析版) 题型:选择题

某赛季,甲、乙两名篮球运动员都参加了11场比赛,他们每场比赛得分的情况用如图所示的茎叶图表示,则甲、乙两名运动员的中位数分别是 ( )

A. B. C. D.

查看答案和解析>>

科目:高中数学 来源:2015-2016学年辽宁省大连市高一上学期期中考试数学试卷(解析版) 题型:选择题

函数的零点所在的大致区间是 ( )

A.(0,1) B.(1,2) C.(2,3) D.(3,4)

查看答案和解析>>

科目:高中数学 来源:2015-2016学年浙江省平湖市高一10月月考数学试卷(解析版) 题型:解答题

(本题10分)已知是定义在上的奇函数,时,

(1)求上的表达式;

(2)令,问是否存在大于零的实数,使得当时,函数值域为,若存在求出的值,若不存在请说明理由.

查看答案和解析>>

同步练习册答案