精英家教网 > 高中数学 > 题目详情

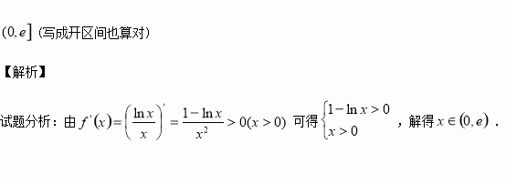
函数的单调递增区间是____

练习册系列答案
相关习题

科目:高中数学 来源:2016届河南省原名校高三上学期第一次联考理科数学试卷(解析版) 题型:选择题

中,若点满足,则( )

A. B.

C. D.

查看答案和解析>>

科目:高中数学 来源:2015-2016学年福建省师大附高二上期中理科数学试卷(解析版) 题型:选择题

已知,若不等式恒成立,则实数的最大值是( )

A. B. C. D.

查看答案和解析>>

科目:高中数学 来源:2015-2016学年辽宁省大连市高二10月月考数学试卷(解析版) 题型:解答题

某算法的程序框图如图所示,其中输入的变量个整数中等可能随机产生.分别求出按程序框图正确编程运行时输出的值为的概率;

查看答案和解析>>

科目:高中数学 来源:2015-2016学年辽宁省大连市高二10月月考数学试卷(解析版) 题型:选择题

用秦九韶算法求多项式

的值为( )

A.-57 B.220 C.-845 D.3392

查看答案和解析>>

科目:高中数学 来源:2015-2016学年湖北省枣阳市高二10月月考理科数学试卷(解析版) 题型:解答题

(本小题满分14分)省环保研究所对市中心每天环境放射性污染情况进行调查研究后,发现一天中环境综合放射性污染指数f(x)与时刻x(时)的关系为f(x)=+2a+,x∈,其中a是与气象有关的参数,且a∈,若取每天f(x)的最大值为当天的综合放射性污染指数,并记作M(a).

(1)令t=,x∈,求t的取值范围;

(2)省政府规定,每天的综合放射性污染指数不得超过2,试问:目前市中心的综合放射性污染指数是否超标?

查看答案和解析>>

科目:高中数学 来源:2015-2016学年湖北省高二上学期期中理科数学试卷(解析版) 题型:解答题

(本小题满分12分)如图,已知四棱锥的底面是菱形,对角线交于点底面,点满足

(1)当时,证明:

(2)若二面角的大小为,问:符合条件的点是否存在.若存在,求出的值.若不存在,说明理由.

查看答案和解析>>

科目:高中数学 来源:2015-2016学年河南省英文学校高一上学期期中考试数学试卷(解析版) 题型:解答题

(本小题满分12分)已知函数是R上的奇函数,且当x<0时,函数的解析式为求函数的解析式.

查看答案和解析>>

科目:高中数学 来源:2015-2016学年浙江省平湖市高一10月月考数学试卷(解析版) 题型:填空题

函数的定义域为

查看答案和解析>>

同步练习册答案