精英家教网 > 高中数学 > 题目详情

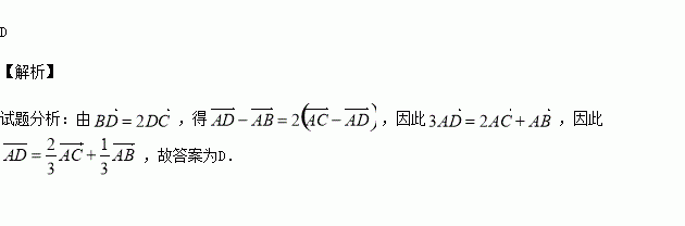
中,若点满足,则( )

A. B.

C. D.

练习册系列答案
相关习题

科目:高中数学 来源:2016届浙江宁波效实中学高三上期中考试理科数学试卷(解析版) 题型:解答题

,角所对的边为.已知,且

(1)求的值;

(2)当时,求的面积

查看答案和解析>>

科目:高中数学 来源:2015-2016学年甘肃省嘉峪关市高二上学期期中考试文科数学试卷(解析版) 题型:选择题

,则一定有

A. B. C. D.

查看答案和解析>>

科目:高中数学 来源:2016届山东省高三第二次诊断性考试理科数学试卷(解析版) 题型:选择题

已知是奇函数,且满足,当时,,则当时,的最小值为( )

A. B. C. D.

查看答案和解析>>

科目:高中数学 来源:2016届河南省原名校高三上学期第一次联考理科数学试卷(解析版) 题型:选择题

,已知函数的定义域是,值域是,若函数有唯一的零点,则( )

A.2 B. C.1 D.0

查看答案和解析>>

科目:高中数学 来源:2015-2016学年浙江省宁波市高一上期中数学试卷(解析版) 题型:选择题

已知,则的值为( )

A.0 B. C.2 D.

查看答案和解析>>

科目:高中数学 来源:2015-2016学年四川绵阳南山中学高二上期中文科数学试卷(解析版) 题型:选择题

已知双曲线)的两条渐近线均和圆相切,且双曲线的右焦点为圆的圆心,则该双曲线的方程为

A. B.

C. D.

查看答案和解析>>

科目:高中数学 来源:2015-2016学年湖北省高二上期中文科数学试卷(解析版) 题型:选择题

已知命题p:|x-1|≥2,命题q:x∈Z,若“p且q”与“非q”同时为假命题,则满足条件的x为( )

A.{x|x≥3或x≤-1,x∈Z} B.{x|-1≤x≤3, x∈Z}

C.{0,1,2} D.{-1,0,1,2,3}

查看答案和解析>>

科目:高中数学 来源:2015-2016学年江苏省泰兴市高二上学期期中考试数学试卷(解析版) 题型:填空题

函数的单调递增区间是____

查看答案和解析>>

同步练习册答案