精英家教网 > 高中数学 > 题目详情

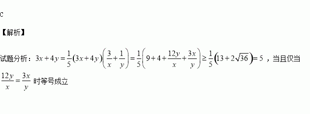
若正数满足,则的最小值是( )

A. B. C.5 D.6

练习册系列答案
相关习题

科目:高中数学 来源:2015-2016学年湖北省黄石市高二下期中文科数学试卷(解析版) 题型:选择题

在平面直角坐标系中,点P是直线上一动点,点F(1,0),点Q为PF的中点,点M满足,过点M作圆的切线,切点分别A,B,则|AB|的最小值为( )

A. 3 B. C. D.

查看答案和解析>>

科目:高中数学 来源:2015-2016学年湖北省襄阳市四校高一下学期期中联考数学试卷(解析版) 题型:填空题

中,角所对的边分别为.已知,则=

查看答案和解析>>

科目:高中数学 来源:2015-2016学年河南省高一下期中数学试卷(解析版) 题型:解答题

设等差数列{an}的前n项和为Sn,已知a3=24,a6=18.

(1)求数列{an}的通项公式;

(2)求数列{an}的前n项和Sn;

(3)当n为何值时,Sn最大,并求Sn的最大值.

查看答案和解析>>

科目:高中数学 来源:2015-2016学年河南省高一下期中数学试卷(解析版) 题型:填空题

已知集合,则=_____

查看答案和解析>>

科目:高中数学 来源:2015-2016学年河南省高一下期中数学试卷(解析版) 题型:选择题

在△ABC中,已知a2=b2+bc+c2,则角A为( )

A. B. C. D.

查看答案和解析>>

科目:高中数学 来源:2015-2016学年广东省高一下第一次月考文科数学试卷(解析版) 题型:解答题

如图的茎叶图记录了甲、乙两代表队各10名同学在一次英语听力比赛中的成绩(单位:分),已知甲代表队数据的中位数为76,乙代表队数据的平均数是75.

(1)求x,y的值;

(2)判断甲、乙两队谁的成绩更稳定,并说明理由(方差较小者稳定).

查看答案和解析>>

科目:高中数学 来源:2015-2016学年广东省高一下第一次月考文科数学试卷(解析版) 题型:选择题

下列说法正确的是( )

A.任何事件的概率总是在(0,1)之间

B.频率是客观存在的,与试验次数无关

C.随着试验次数的增加,频率一般会越来越接近概率

D.概率是随机的,在试验前不能确定

查看答案和解析>>

科目:高中数学 来源:2016届辽宁省锦州市高三下学期质量检测二文科数学试卷(解析版) 题型:选择题

已知函数,则函数的大致图象为( )

A. B.

C. D.

查看答案和解析>>

同步练习册答案