精英家教网 > 高中数学 > 题目详情

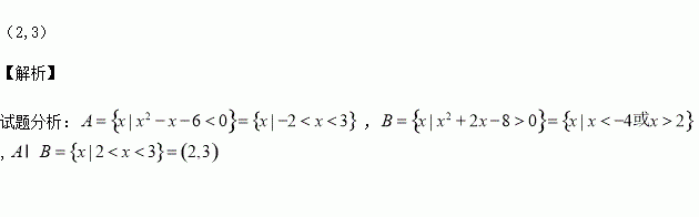
已知集合,则=_____

练习册系列答案
相关习题

科目:高中数学 来源:2015-2016学年湖北省黄石市高二下期中文科数学试卷(解析版) 题型:解答题

经过双曲线的左焦点F1作倾斜角为的弦AB,

求(1)线段AB的长;

(2)设F2为右焦点,求的周长

查看答案和解析>>

科目:高中数学 来源:2015-2016学年湖北省襄阳市四校高一下学期期中联考数学试卷(解析版) 题型:解答题

如图,正方形的边长为1,分别为边上的点,且都不与重合,线段的长为1,的面积用表示.

(1)设,试用表示为的函数;

(2)求的面积的最小值.

查看答案和解析>>

科目:高中数学 来源:2015-2016学年湖北省襄阳市四校高一下学期期中联考数学试卷(解析版) 题型:选择题

,则为( )

A.5 B.-1 C.6 D.

查看答案和解析>>

科目:高中数学 来源:2015-2016学年河南省高一下期中数学试卷(解析版) 题型:解答题

已知不等式的解集是

(1)若,求的取值范围;

(2)若,求不等式的解集.

查看答案和解析>>

科目:高中数学 来源:2015-2016学年河南省高一下期中数学试卷(解析版) 题型:选择题

若正数满足,则的最小值是( )

A. B. C.5 D.6

查看答案和解析>>

科目:高中数学 来源:2015-2016学年河南省高一下期中数学试卷(解析版) 题型:选择题

已知集合=( )

A. B. C. D.

查看答案和解析>>

科目:高中数学 来源:2015-2016学年广东省高一下第一次月考文科数学试卷(解析版) 题型:选择题

一次试验:向如右图所示的正方形中随机撒一大把豆子. 经查数,落在正方形中的豆子的总数为N粒,其中有m()粒豆子落在该正方形的内切圆内,以此估计圆周率的值为( )

A. B. C. D.

查看答案和解析>>

科目:高中数学 来源:2016届辽宁省锦州市高三下学期质量检测二文科数学试卷(解析版) 题型:填空题

已知函数,则

查看答案和解析>>

同步练习册答案