精英家教网 > 高中数学 > 题目详情

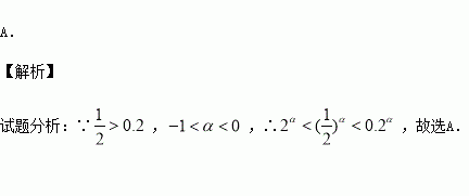
已知,则( )

A. B.

C. D.

练习册系列答案
相关习题

科目:高中数学 来源:2016届中国人大附中高三上期中检测文科数学试卷(解析版) 题型:选择题

等差数列的前n项和为,如果,那么( )

A.8 B.15 C.24 D.30

查看答案和解析>>

科目:高中数学 来源:2016届安徽省等高三第三次联考理科数学试卷(解析版) 题型:解答题

如图,在四棱锥中,底面为直角,,分别为的中点.

(1)试证:平面

(2)设,且二面角的平面角大于,求的取值范围.

查看答案和解析>>

科目:高中数学 来源:2015-2016学年浙江省高二上期中数学试卷(解析版) 题型:填空题

如图是某三棱锥的三视图,各个视图是全等的等腰直角三角形,且直角边长为1,则这个三棱

锥外接球的表面积是

查看答案和解析>>

科目:高中数学 来源:2015-2016学年浙江慈溪中学高一7-12班上期中数学卷(解析版) 题型:选择题

设全集,则等于( )

A. B. C. D.

查看答案和解析>>

科目:高中数学 来源:2015-2016学年云南省高一上期中数学试卷(解析版) 题型:解答题

已知:定义在R上的函数,对于任意实数a, b都满足,且,网当

(Ⅰ)求的值;

(Ⅱ)证明上是增函数;

(Ⅲ)求不等式的解集.

查看答案和解析>>

科目:高中数学 来源:2015-2016学年四川树德、雅安中学高一10月考试数学卷(解析版) 题型:填空题

若函数的最小值为5,则实数=____________.

查看答案和解析>>

科目:高中数学 来源:2015-2016学年黑龙江齐齐哈尔实验中学高一上期中数学卷(解析版) 题型:解答题

已知集合,若.求实数的取值范围.

查看答案和解析>>

科目:高中数学 来源:2015-2016学年江西省吉安市高二上二段考理科数学卷(解析版) 题型:选择题

曲线在点处切线的斜率等于( )

A.2e B.e C.2 D.1

查看答案和解析>>

同步练习册答案