精英家教网 > 高中数学 > 题目详情

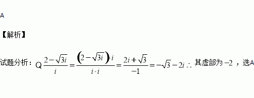
复数(为虚数单位)的虚部是( )

A. B.2 C. D.

练习册系列答案
相关习题

科目:高中数学 来源:2016届河北省高三下学期猜题理科数学试卷(解析版) 题型:选择题

如图所示的是函数和函数的部分图象,则函数的解析式是( )

A. B.

C. D.

查看答案和解析>>

科目:高中数学 来源:2015-2016学年福建省高一6月月考数学试卷(解析版) 题型:选择题

《九章算术》中,将底面是直角形的直三棱柱称之为“堑堵”,已知某“堑堵”的三视图如图所示,俯视图中虚线平分矩形的面积,则该“堑堵”的表面积为( )

A. B. C. D.

查看答案和解析>>

科目:高中数学 来源:2015-2016学年福建省高二下期中文科数学试卷(解析版) 题型:填空题

复数的共轭复数为

查看答案和解析>>

科目:高中数学 来源:2015-2016学年福建省高二下期中文科数学试卷(解析版) 题型:选择题

已知函数的最小正周期为,则该函数的图象是( )

A.关于点对称 B.关于直线对称

C.关于点对称 D.关于直线对称

查看答案和解析>>

科目:高中数学 来源:2016届山西省等四校高三下第四次联考文科数学试卷(解析版) 题型:解答题

已知圆C经过两点,且在轴上截得的线段长为

(Ⅰ)求圆C的方程;

(Ⅱ)若直线,且与圆C交于点A,B,且以线段AB为直径的圆经过坐标原点,求直线的方程.

查看答案和解析>>

科目:高中数学 来源:2016届山西省等四校高三下第四次联考文科数学试卷(解析版) 题型:填空题

中,=

查看答案和解析>>

科目:高中数学 来源:2016届山西省等四校高三下第四次联考理科数学试卷(解析版) 题型:解答题

已知椭圆的左、右焦点分别为,离心率为.以原点为圆心,椭圆的短轴长为直径的圆与直线相切.

(1)求椭圆的方程;

(2)如图,若斜率为的直线轴、椭圆顺次相交于(点在椭圆右顶点的右侧),且.求证直线恒过定点,并求出斜率的取值范围.

查看答案和解析>>

科目:高中数学 来源:2015-2016学年宁夏高一下第二次月考数学试卷(解析版) 题型:选择题

下列给出的赋值语句中正确的是( )

A. B. C. D.

查看答案和解析>>

同步练习册答案