精英家教网 > 高中数学 > 题目详情

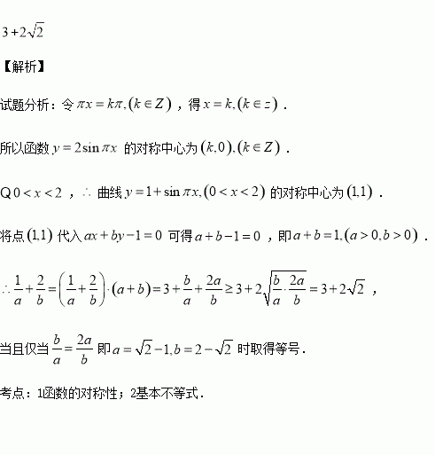
若直线过曲线的对称中心,则的最小值为

练习册系列答案
相关习题

科目:高中数学 来源:2016届湖北武汉华中师大一附等高三上第一次联考理数学卷(解析版) 题型:填空题

已知平面直角坐标系中,,则向量在向量的方向上的投影是

查看答案和解析>>

科目:高中数学 来源:2014-2015学年广东省心学校高一上学期期末数学试卷(解析版) 题型:填空题

已知函数的图象恒过定点,且点又在函数的图象上.

(1)求实数的值;

(2)解不等式

(3)当方程有两个不等实根时,求的取值范围.

查看答案和解析>>

科目:高中数学 来源:2016届湖南师范大学附中高三上学期月考三文科数学试卷(解析版) 题型:解答题

已知函数

(1)求函数的最小正周期;

(2)将函数的图象向下平移个单位,再将图象上各点的纵坐标伸长到原来的2倍(横坐标不变),得到函数的图象,求使成立的的取值集合.

查看答案和解析>>

科目:高中数学 来源:2016届湖南师范大学附中高三上学期月考三理科数学试卷(解析版) 题型:选择题

已知的面积为1,为直角顶点.设向量,则的最大值为( )

A.1 B.2 C.3 D.4

查看答案和解析>>

科目:高中数学 来源:2016届甘肃省高三12月月考理科数学试卷(解析版) 题型:解答题

心理学家分析发现视觉和空间能力与性别有关, 某数学兴趣小组为了 验 证这个结论,从兴趣小组中按分层抽样的方法抽取50名同学 (男30女20), 给所有同学几何题和代数题各一题, 让各位同学自由选择一道题进行解答.选题情况如下表:(单位:人)

(Ⅰ)能否据此判断有97.5%的把握认为视觉和空间能力与性别有关?

(Ⅱ)经过多次测试后,甲每次解答一道几何题所用的时间在5—7分钟,乙每次解答一道几何题所用

的时间在6—8分钟,现甲、乙各解同一道几何题,求乙比甲先解答完的概率.

(Ⅲ)现从选择做几何题的8名女生中任意抽取两人对她们的答题情况进行全程研究,记甲、 乙两女

生被抽到的人数为X, 求X的分布列及数学期望E(X) .

附表及公式

查看答案和解析>>

科目:高中数学 来源:2016届福建省高三上学期半期考试文科数学试卷(解析版) 题型:填空题

设函数,则的值为

查看答案和解析>>

科目:高中数学 来源:2015-2015学年云南省玉溪市高一上学期期中数学试卷(解析版) 题型:选择题

函数的图象恒过点,下列函数中图象不经过点的是( )

A. B. C. D.

查看答案和解析>>

科目:高中数学 来源:2016届湖南师大附中高三月考四文科数学试卷(解析版) 题型:选择题

设集合,从集合中任取一个元素,则这个元素也是集合中元素的概率是( )

A. B. C. D.

查看答案和解析>>

同步练习册答案