精英家教网 > 高中数学 > 题目详情

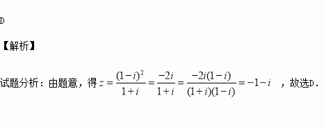
已知为虚数单位),则复数=( )

A. B. C. D.

练习册系列答案
相关习题

科目:高中数学 来源:2015-2016学年广东省普宁市高二上期中文科数学试卷(解析版) 题型:填空题

已知的图象与X轴交与,则的最小值为____

查看答案和解析>>

科目:高中数学 来源:2016届辽宁省葫芦岛市高三上学期期中理科数学试卷(解析版) 题型:选择题

若实数满足,则目标函数的最大值为( )

A. B. C. D.

查看答案和解析>>

科目:高中数学 来源:2016届黑龙江省牡丹江市高三上学期期中理科数学试卷(解析版) 题型:选择题

已知点三点共线,则实数的值是( )

A. B. C. D.

查看答案和解析>>

科目:高中数学 来源:2016届福建省高三上学期期中理科数学试卷(解析版) 题型:解答题

(本题满分12分)中,上的点,平分面积是面积的2倍.

(Ⅰ) 求

(Ⅱ)若,求的长.

查看答案和解析>>

科目:高中数学 来源:2015-2016学年江西南昌二中高二上学期期中文科数学试卷(解析版) 题型:选择题

若椭圆过抛物线的焦点, 且与双曲线有相同的焦点,则该椭圆的方程是

A. B. C. D.

查看答案和解析>>

科目:高中数学 来源:2015-2016学年吉林省高一上学期期中数学试卷(解析版) 题型:解答题

(本小题12分)已知函数的定义域是R,对任意实数x,y,均有,且当时,

(Ⅰ)证明:在R上是增函数;

(Ⅱ)判断的奇偶性,并证明;

(Ⅲ)若,求不等式的解集.

查看答案和解析>>

科目:高中数学 来源:2015-2016学年湖南省常德市高一上学期期中数学试卷(解析版) 题型:解答题

(共12分)已知全集

(1)若,试求全集中的集合的补集

(2)若,求函数的最小值.

查看答案和解析>>

科目:高中数学 来源:2016届浙江宁波效实中学高三上期中考试文科数学试卷(解析版) 题型:填空题

若指数函数的图象过点,则 ;不等式的解集为

查看答案和解析>>

同步练习册答案