精英家教网 > 高中数学 > 题目详情

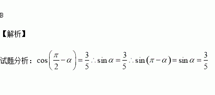
,那么=( )

A. B. C. D.

练习册系列答案
相关习题

科目:高中数学 来源:2015-2016学年吉林省扶余市高二上学期期中考试文科数学试卷(解析版) 题型:选择题

在平面直角坐标系中,可表示满足不等式的点()的集合(用阴影部分来表示)的是( )

查看答案和解析>>

科目:高中数学 来源:2015-2016学年重庆市高二上第一次月考理科数学试卷(解析版) 题型:选择题

为奇函数,且 的一个零点,则一定是下列哪个函数的零点 ( )

A. B.

C. D.

查看答案和解析>>

科目:高中数学 来源:2015-2016学年辽宁省大连市高二上期中理科数学试卷(解析版) 题型:选择题

“点到两条坐标轴距离相等”是“点的轨迹方程为”的

(A)充分不必要条件 (B)必要不充分条件

(C)充要条件 (D)不充分不必要条件

查看答案和解析>>

科目:高中数学 来源:2015-2016学年江西省赣州市十三县高二上期中联考文科数学试卷(解析版) 题型:解答题

(本小题满分12分)如图所示,是正方形, 的中点.

(1)求证:

(2)若,求三棱锥的体积.

查看答案和解析>>

科目:高中数学 来源:2015-2016学年江西省赣州市十三县高二上期中联考理科数学试卷(解析版) 题型:选择题

若将一个质点随机投入如图所示的长方形中,其中,则质点落在以为直径的半圆内的概率是( )

A. B. C. D.

查看答案和解析>>

科目:高中数学 来源:2015-2016学年湖南省高一上学期期中考试数学试卷(解析版) 题型:选择题

已知集合A={-1,0,1},B={—2,—1,0},则A∩B等于 ( )

A.{0} B.{-1,0,1} C.{0,1} D.{-1,0}

查看答案和解析>>

科目:高中数学 来源:2015-2016学年广东省普宁市高二上期中文科数学试卷(解析版) 题型:解答题

(本小题满分14分)

设Sn表示数列的前n项和.

(Ⅰ)若为等差数列, 推导Sn的计算公式;

(Ⅱ)若, 且对所有正整数n, 有.判断是否为等比数列.

查看答案和解析>>

科目:高中数学 来源:2016届辽宁省葫芦岛市高三上学期期中理科数学试卷(解析版) 题型:选择题

内一点,且.定义,其中分别是的面积.若,则的最小值是

A. B. C. D.

查看答案和解析>>

同步练习册答案