精英家教网 > 高中数学 > 题目详情

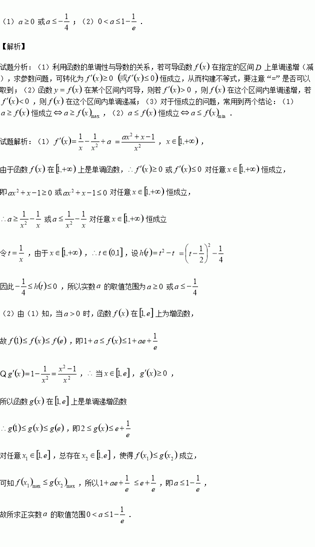
(本小题满分12分)已知函数

(1)若函数上是单调函数,求实数的取值范围;

(2)已知函数,对于任意,总存在,使得成立,求正实数的取值范围.

练习册系列答案
相关习题

科目:高中数学 来源:2015-2016学年吉林实验中学高二上学期期中文科数学试卷(解析版) 题型:解答题

(本题满分12分)

已知圆,圆,动圆与圆外切并且与圆内切,圆心的轨迹为曲线

(1)求曲线的轨迹方程;

(2)是与圆以及圆都相切的一条直线,与曲线交于两点,当圆的半径最长时,

的长.

查看答案和解析>>

科目:高中数学 来源:2015-2016学年甘肃省嘉峪关市高二上学期期中考试文科数学试卷(解析版) 题型:选择题

的等比中项,则的最小值为 ( )

A. B. C. D.

查看答案和解析>>

科目:高中数学 来源:2016届浙江宁波效实中学高三上期中考试理科数学试卷(解析版) 题型:选择题

在各项均为正数的等比数列中,,则( )

A.8 B.6 C.4 D.

查看答案和解析>>

科目:高中数学 来源:2016届山东省高三第二次诊断性考试理科数学试卷(解析版) 题型:解答题

(本小题满分14分)

已知函数

(Ⅰ)当时,求在区间上的最值;

(Ⅱ)讨论函数的单调性;

(Ⅲ)当时,有恒成立,求的取值范围.

查看答案和解析>>

科目:高中数学 来源:2016届河南省原名校高三上学期第一次联考文科数学试卷(解析版) 题型:选择题

已知函数,若,则实数等于( )

A. B. C. D.

查看答案和解析>>

科目:高中数学 来源:2015-2016学年浙江省宁波市高一上期中数学试卷(解析版) 题型:选择题

已知,则的值为( )

A.0 B. C.2 D.

查看答案和解析>>

科目:高中数学 来源:2015-2016学年广西桂林中学高二上期中考试文科数学试卷(解析版) 题型:选择题

若不等式对任意正实数x,y恒成立,则实数的取值范围是( )

A. B. C. D.

查看答案和解析>>

科目:高中数学 来源:2015-2016学年河南省英文学校高一上学期期中考试数学试卷(解析版) 题型:解答题

(本小题满分12分)已知函数

(1)求函数的定义域;

(2)若函数的最小值为―4,求的值.

查看答案和解析>>

同步练习册答案