精英家教网 > 高中数学 > 题目详情

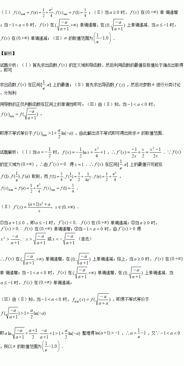
(本小题满分14分)

已知函数

(Ⅰ)当时,求在区间上的最值;

(Ⅱ)讨论函数的单调性;

(Ⅲ)当时,有恒成立,求的取值范围.

练习册系列答案
相关习题

科目:高中数学 来源:2015-2016学年吉林省高一上学期期中数学试卷(解析版) 题型:解答题

(本小题12分)化简求值:(Ⅰ)

(Ⅱ)

查看答案和解析>>

科目:高中数学 来源:2015-2016学年江西省南昌市高一上学期期中考试数学试卷(解析版) 题型:选择题

,则等于 ( )

A、 B、 C、 D、

查看答案和解析>>

科目:高中数学 来源:2016届浙江宁波效实中学高三上期中考试文科数学试卷(解析版) 题型:选择题

一个几何体的三视图如图所示,则该几何体的体积是( )

A.64 B.72 C.80 D.112

查看答案和解析>>

科目:高中数学 来源:2016届山东省高三第二次诊断性考试文科数学试卷(解析版) 题型:解答题

(本小题满分12分)

已知命题方程上有解,命题只有一个实数满足不等式,若命题“”是假命题,求实数的取值范围.

查看答案和解析>>

科目:高中数学 来源:2016届河南省原名校高三上学期第一次联考文科数学试卷(解析版) 题型:解答题

(本小题满分12分)已知函数

(1)若函数上是单调函数,求实数的取值范围;

(2)已知函数,对于任意,总存在,使得成立,求正实数的取值范围.

查看答案和解析>>

科目:高中数学 来源:2016届河南省原名校高三上学期第一次联考理科数学试卷(解析版) 题型:填空题

,且,则

查看答案和解析>>

科目:高中数学 来源:2015-2016学年湖北省高二上期中文科数学试卷(解析版) 题型:选择题

为不同的平面,为不同的直线,则的一个充分条件为( ).

A. B.

C. D.

查看答案和解析>>

科目:高中数学 来源:2015-2016学年辽宁省大连市高一上学期期中考试数学试卷(解析版) 题型:解答题

已知定义在R上的奇函数

(1)求实数的值;

(2)判断的单调性,并证明.

查看答案和解析>>

同步练习册答案