精英家教网 > 高中数学 > 题目详情

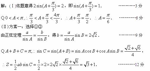
中,分别为内角所对的边,且满足.

(Ⅰ)求角的大小;

(Ⅱ)现给出三个条件:①;②;③

试从中选出两个可以确定的条件,写出你的选择,并以此为依据求的面积 (只需写出一个选定方案即可,选多种方案以第一种方案记分) .

方案二:选择①③

由余弦定理,                       …………9分

,解得

所以.                …………12分

说明:若选择②③,由得,不成立,这样的三角形不存在.

练习册系列答案
相关习题

科目:高中数学 来源:2013-2014学年安徽“江淮十校”协作体高三上学期第一次联考文数学卷(解析版) 题型:选择题

中,已知分别为内角所对的边,的面积.若向量满足,则(     )

A、         B、        C、         D、

 

查看答案和解析>>

科目:高中数学 来源:2014届安徽省高一下学期期中考试数学试卷(解析版) 题型:选择题

中,分别为内角所对的边,已知,则(      )

A.            B.          C.              D. 

 

查看答案和解析>>

科目:高中数学 来源:2010-2011学年山西省忻州市高三第一次联考数学文卷 题型:解答题

.(本题满分12分)

中,分别为内角所对的边,且满足.

(Ⅰ)求角的大小;

(Ⅱ)现给出三个条件:①;②;③

试从中选出两个可以确定的条件,写出你的选择,并以此为依据求的面积 (只需写出一个选定方案即可,选多种方案以第一种方案记分) .

 

查看答案和解析>>

科目:高中数学 来源: 题型:

中,分别为内角所对的边,且满足

(1)证明:

(2)如图,点外一点,设

,当时,求平面四边形面积的最大值.

 


查看答案和解析>>

同步练习册答案