精英家教网 > 高中数学 > 题目详情

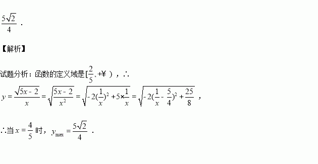
函数的最大值为

练习册系列答案
相关习题

科目:高中数学 来源:2014-2015学年四川省眉山市高一下学期期末考试数学试卷(解析版) 题型:选择题

中,分别为角的对边,若,则的形状为

A.正三角形 B.直角三角形

C.等腰三角形 D.等腰三角形或直角三角形

查看答案和解析>>

科目:高中数学 来源:2014-2015学年贵州省高二上学期期中理科数学试卷(解析版) 题型:解答题

(12分)如图所示,从双曲线x2-y2=1上一点Q引直线x+y=2的垂线,垂足为N.求线段QN的中点P的轨迹方程.

查看答案和解析>>

科目:高中数学 来源:2016届西藏日喀则一中高三10月检测理科数学试卷(解析版) 题型:解答题

(本小题满分12分)直三棱柱中,分别是的中点,为棱上的点.

(1)证明:

(2)是否存在一点,使得平面与平面所成锐二面角的余弦值为?若存在,说明点的位置,若不存在,说明理由.

查看答案和解析>>

科目:高中数学 来源:2015-2016学年重庆市高一10月月考数学试卷(解析版) 题型:填空题

已知函数的定义域为R,则实数a的取值范围为

查看答案和解析>>

科目:高中数学 来源:2015-2016学年山西康杰中学高一上学期期中考试数学试卷(解析版) 题型:解答题

(本题满分10分)设,求函数的最大值和最小值.

查看答案和解析>>

科目:高中数学 来源:2015-2016学年江西新余一中高一上第一次段考数学试卷(解析版) 题型:填空题

已知函数f(x),g(x)分别由下表给出:

则不等式f[g(x)]>g[f(x)]的解为________.

查看答案和解析>>

科目:高中数学 来源:2015-2016学年湖北宜昌一中高二上学期期中理科数学试卷(解析版) 题型:选择题

已知分别是双曲线的左、右焦点,若关于渐近线的对称点恰落在以为圆心,为半径的圆上,则双曲线的离心率为

A. B. C. D.

查看答案和解析>>

科目:高中数学 来源:2015-2016年重庆巴蜀中学高一上学期10月月考数学试卷(解析版) 题型:解答题

已知函数f(x)=ax2+|x-a|(

(1)当a=0时,写出f(x)的单调区间;

(2)当a=1时,求f(x)的最小值;

(3)试讨论关于x的方程f(x)=x3的解的个数.

查看答案和解析>>

同步练习册答案