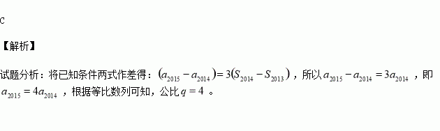
精英家教网 > 高中数学 > 题目详情

已知等比数列前n项和为,且,则公比q等于( )

A.3 B. C.4 D.

练习册系列答案
相关习题

科目:高中数学 来源:2014-2015学年浙江省嵊州市高一下学期期末检测数学试卷(解析版) 题型:填空题

等比数列的首项为正数,若,则的值为

查看答案和解析>>

科目:高中数学 来源:2014-2015学年山西省高二下学期期中文科数学试卷(解析版) 题型:选择题

函数的图象大致是( )

查看答案和解析>>

科目:高中数学 来源:2014-2015学年江西省上饶市等四校高一6月考理科数学试卷(解析版) 题型:选择题

设数列的前项和为,则的值为( )

A、 B、 C、 D、

查看答案和解析>>

科目:高中数学 来源:2014-2015学年吉林省长春市高一下学期期末理科数学试卷(解析版) 题型:选择题

已知等差数列的前项和为则数列的前100项和为( )

A. B. C. D.

查看答案和解析>>

科目:高中数学 来源:2014-2015学年贵州省高二上学期期中文科数学试卷(解析版) 题型:选择题

已知双曲线的离心率为,椭圆的离心率为( ) 。

A. B. C. D.

查看答案和解析>>

科目:高中数学 来源:2014-2015学年贵州省高二上学期期中理科数学试卷(解析版) 题型:选择题

某校有行政人员、教学人员和教辅人员共200人,其中教学人员与教辅人员的比为10?1,行政人员有24人,现采取分层抽样容量为50的样本,那么行政人员应抽取的人数为( )

A.3 B.4 C.6 D.8

查看答案和解析>>

科目:高中数学 来源:2016届西藏日喀则一中高三10月检测理科数学试卷(解析版) 题型:选择题

一个圆锥被过顶点的平面截去了较少的一部分几何体,余下的几何体的三视图如下,则余下部分的几何体的体积为( )

A. B.

C. D.

查看答案和解析>>

科目:高中数学 来源:2015-2016学年河北衡水冀州中学高二上期中文科数学B卷(解析版) 题型:选择题

若函数是(-2,4)上的增函数,且,则实数的取值范围是( )

A.(-1,1 ) B.(-∞,1) C.( 1,+∞) D.(-2,3 )

查看答案和解析>>

同步练习册答案