精英家教网 > 高中数学 > 题目详情

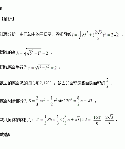
一个圆锥被过顶点的平面截去了较少的一部分几何体,余下的几何体的三视图如下,则余下部分的几何体的体积为( )

A. B.

C. D.

练习册系列答案
相关习题

科目:高中数学 来源:2014-2015学年四川省宜宾市高一下学期期末测试数学试卷(解析版) 题型:解答题

(本小题满分12分)(注意: 在试题卷上作答无效)

已知数列的前项和满足,数列满足,其中.

求数列的通项公式;

,数列的前项和为,若恒成立,求实数的取值范围.

查看答案和解析>>

科目:高中数学 来源:2014-2015学年湖北武汉一中等重点中学高一下学期期中理科数学试卷(解析版) 题型:选择题

已知等比数列前n项和为,且,则公比q等于( )

A.3 B. C.4 D.

查看答案和解析>>

科目:高中数学 来源:2014-2015学年北京市西城区高一下学期期末考试数学试卷(解析版) 题型:选择题

执行如图所示的程序框图,输出的S值为( )

A.2 B. C. D.

查看答案和解析>>

科目:高中数学 来源:2016届西藏日喀则一中高三10月检测理科数学试卷(解析版) 题型:解答题

(本小题满分12分)函数,若曲线在点处的切线与直线垂直(其中为自然对数的底数).

(1)若上存在极值,求实数的取值范围;

(2)求证:当时,

查看答案和解析>>

科目:高中数学 来源:2015-2016学年重庆市高一10月月考数学试卷(解析版) 题型:选择题

满足条件的集合M的个数为( )

A.6 B.7 C.8 D.9

查看答案和解析>>

科目:高中数学 来源:2015-2016学年山西康杰中学高一上学期期中考试数学试卷(解析版) 题型:填空题

已知函数是定义在上的偶函数,且在上是增函数,若实数满足:,则a的取值范围是

查看答案和解析>>

科目:高中数学 来源:2015-2016学年湖北宜昌市高一上期中考试数学试卷(解析版) 题型:选择题

由无理数引发的数学危机一直延续到19世纪,直到1872年,德国数学家戴德金提出了“戴德金分割”,才结束了持续2000多年的数学史上的第一次大危机.所谓戴德金分割,是指将有理数集划分为两个非空的子集,且满足中的每一个元素都小于中的每一个元素,则称为戴德金分割.试判断,对于任一戴德金分割,下列选项中不可能成立的是

A.没有最大元素,有一个最小元素

B.没有最大元素,也没有最小元素

C.有一个最大元素,有一个最小元素

D.有一个最大元素,没有最小元素

查看答案和解析>>

科目:高中数学 来源:2014-2015学年陕西省西安市高三上学期期中考试文科数学试卷(解析版) 题型:填空题

已知均为正数,且,那么的最小值是____________.

查看答案和解析>>

同步练习册答案