精英家教网 > 高中数学 > 题目详情

(本小题满分12分)(注意: 在试题卷上作答无效)

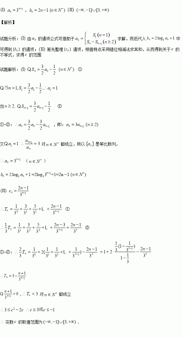
已知数列的前项和满足,数列满足,其中.

求数列的通项公式;

,数列的前项和为,若恒成立,求实数的取值范围.

练习册系列答案
相关习题

科目:高中数学 来源:2016届福建省高三第一次月考理科数学试卷(解析版) 题型:填空题

函数y=a1-x (a>0,a≠1)的图象恒过定点A,若点A在直线mx+ny-1=0 (mn>0)上,则的最小值为________.

查看答案和解析>>

科目:高中数学 来源:2014-2015学年浙江省嵊州市高一下学期期末检测数学试卷(解析版) 题型:填空题

等比数列的首项为正数,若,则的值为

查看答案和解析>>

科目:高中数学 来源:2014-2015学年浙江省嵊州市高二下期末检测文科数学A卷(解析版) 题型:选择题

如图,四边形是三个全等的菱形,为各菱形边上的动点,设,则的最大值为

A. B. C. D.

查看答案和解析>>

科目:高中数学 来源:2014-2015学年浙江省嵊州市高二下期末检测理科数学B卷(解析版) 题型:选择题

已知集合,则

A. B.

C. D.

查看答案和解析>>

科目:高中数学 来源:2014-2015学年四川省宜宾市高一下学期期末测试数学试卷(解析版) 题型:选择题

,,则下列各不等式中恒成立的是

(A) (B)

(C) (D)

查看答案和解析>>

科目:高中数学 来源:2014-2015学年山西省高二下学期期中文科数学试卷(解析版) 题型:选择题

函数的图象大致是( )

查看答案和解析>>

科目:高中数学 来源:2014-2015学年江西省上饶市等四校高一6月考理科数学试卷(解析版) 题型:选择题

设数列的前项和为,则的值为( )

A、 B、 C、 D、

查看答案和解析>>

科目:高中数学 来源:2016届西藏日喀则一中高三10月检测理科数学试卷(解析版) 题型:选择题

一个圆锥被过顶点的平面截去了较少的一部分几何体,余下的几何体的三视图如下,则余下部分的几何体的体积为( )

A. B.

C. D.

查看答案和解析>>

同步练习册答案