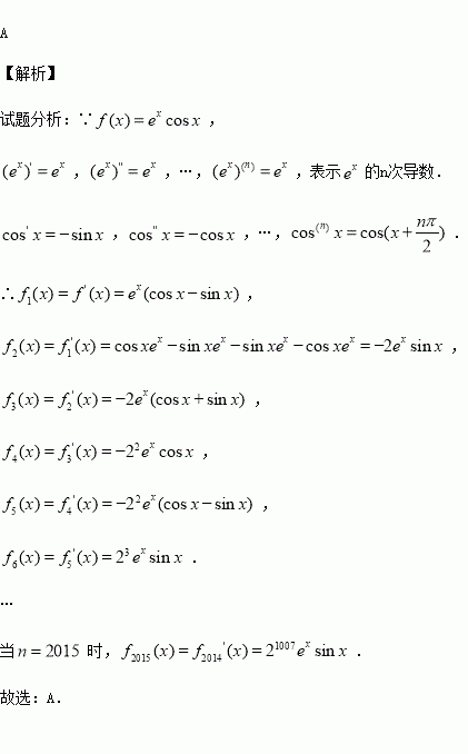
精英家教网 > 高中数学 > 题目详情

已知函数,记,…,则,则( )

A.21007exsinx B.﹣21008excosx

C.21006ex(sinx﹣cosx) D.21007ex(sinx+cosx)

练习册系列答案
相关习题

科目:高中数学 来源:2016届吉林省长春市高三质量监测文科数学试卷(解析版) 题型:解答题

(本小题满分12分)

为了调查某高中学生每天的睡眠时间,现随机对20名男生和20名女生进行问卷调查,结果如下:

女生:

睡眠时间(小时)

人数

男生:

睡眠时间(小时)

人数

(1)现把睡眠时间不足5小时的定义为“严重睡眠不足”,从睡眠时间不足6小时的女生中随机抽取3人,求此3人中恰有一人为“严重睡眠不足”的概率;

(2)完成下面2×2列联表,并回答是否有90%的把握认为“睡眠时间与性别有关”?

睡眠时间少于7小时

睡眠时间不少于7小时

合计

男生

女生

合计

,其中

查看答案和解析>>

科目:高中数学 来源:2014-2015学年山东省高二下学期期末理科数学试卷(解析版) 题型:选择题

设函数f(x)的定义域为R,x0(x0≠0)是f(x)的极大值点,以下结论一定正确的是( )

A. B.的极小值点

C.的极小值点 D.的极小值点

查看答案和解析>>

科目:高中数学 来源:2014-2015学年湖北省宜昌市高二下学期期末文科数学试卷(解析版) 题型:选择题

过椭圆的左顶点A的斜率为k的直线交椭圆C于另一个点B,且点B在x轴上的射影恰好为右焦点F,若,则椭圆离心率的取值范围是( )

A. B. C. D.

查看答案和解析>>

科目:高中数学 来源:2014-2015学年河南省三门峡市高一下学期模拟考试数学试卷(解析版) 题型:选择题

中,边上的高为,若,则=( )

A. B. C. D.

查看答案和解析>>

科目:高中数学 来源:2016届重庆市高三10月月考文科数学试卷(解析版) 题型:填空题

在ΔABC中,3sinA=4sinB=6sinC,则cosB=____________

查看答案和解析>>

科目:高中数学 来源:2016届重庆市高三10月月考理科数学试卷(解析版) 题型:选择题

在极坐标系中,设曲线的交点分别为A,B,则线段AB的垂直平分线的极坐标方程为( )

A.

B.

C.

D.

查看答案和解析>>

科目:高中数学 来源:2016届宁夏银川市高三上学期统练二文科数学试卷(解析版) 题型:选择题

已知是单位向量,且的夹角为60°,则等于( ).

A.1 B.2- C.3 D.4-

查看答案和解析>>

科目:高中数学 来源:2016届黑龙江省高三第一段考文科数学试卷(解析版) 题型:填空题

,则的大小关系是__________________.(用“<”连接)

查看答案和解析>>

同步练习册答案