精英家教网 > 高中数学 > 题目详情
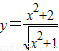
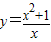
下列函数中,最小值为2的函数是( )
A.
B.
C.
D.
【答案】分析:选项A,先换元,然后利用导数研究函数的单调性从而求出最值,可判定真假;选项B,可取x=-1进行否定;选项C,利用基本不等式可求出最大值为2,可判定真假;选项C,利用基本不等式直接求解,可判定真假.
解答:解:选项A,令=t≥,则y=t+,t≥,y′=1->0∴函数y=t+在[,+∞)上单调递增,则最小值为=,故选项A不正确;
选项B,中取x=-1,则y=-2,故最小值为2不正确;
选项C,,当且仅当x=取等号,故最小值为2不正确;
选项D,=≥2,当且仅当x=0取等号,故最小值为2正确;
故选D.
点评:本题主要考查了基本不等式,以及利用导数研究函数的单调性,注意利用基本不等式的条件,属于基础题.
练习册系列答案
相关习题

科目:高中数学 来源: 题型:

下列函数中,最小值为2的是(  )

查看答案和解析>>

科目:高中数学 来源: 题型:

下列函数中,最小值为2的为(  )

查看答案和解析>>

科目:高中数学 来源: 题型:

下列函数中,最小值为4的有多少个?(  )
y=x+
4
x
     ②y=sinx+
4
sinx
(0<x<π)     ③y=ex+4e-x ④y=log3x+4logx3.

查看答案和解析>>

科目:高中数学 来源: 题型:

下列函数中,最小值为4的函数是(  )

查看答案和解析>>

科目:高中数学 来源: 题型:

下列函数中,最小值为2的是(  )
A、y=
x
5
+
5
x
,x∈R,且 x≠0
B、y=lgx+
1
lgx
,1<x<10
C、y=3x+3-x,x∈R
D、y=sin x+
1
sinx
,0<x<
π
2

查看答案和解析>>

同步练习册答案