精英家教网 > 高中数学 > 题目详情

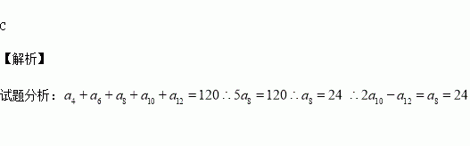
在等差数列中,若,则的值为( )

A.20 B.22 C.24 D.28

练习册系列答案
相关习题

科目:高中数学 来源:2016届安徽省高三上第五次月考理科数学试卷(解析版) 题型:选择题

若直线与曲线恰有三个公共点,则实数的取值范围是( )

A. B. C. D.

查看答案和解析>>

科目:高中数学 来源:2016届河北省高三上学期期中考试文科数学试卷(解析版) 题型:解答题

已知数列{an}是等比数列,首项a1=1,公比q>0,其前n项和为Sn,且S1+a1,S3+a3,S2+a2成等差数列.

(Ⅰ)求数列{an}的通项公式;

(Ⅱ)若数列{bn}满足,Tn为数列{bn}的前n项和,若Tn≥m恒成立,求m的最大值.

查看答案和解析>>

科目:高中数学 来源:2015-2016学年福建省高一上第二次月考数学试卷(解析版) 题型:选择题

下列函数是奇函数,且在定义域内是增函数的是( )

A. B. C. D.

查看答案和解析>>

科目:高中数学 来源:2015-2016学年湖北航天高中等校高二上学期期中联考数学试卷(解析版) 题型:选择题

学校组织学生参加英语测试,成绩的频率分布直方图如图,数据的分组依次是,,若低于60分的人数是15人,则该班的学生人数和平均成绩分别是( )

A.,67 B.50, 68 C. 55, 69 D.60,70

查看答案和解析>>

科目:高中数学 来源:2015-2016学年河北省邯郸市等校高二上学期期中理科数学试卷(解析版) 题型:选择题

在各项均为正数的等比数列中,是方程的两根,向量,若,则( )

A. B. C. D.

查看答案和解析>>

科目:高中数学 来源:2015-2016学年山东省高二上学期期中考试理科数学试卷(解析版) 题型:解答题

在△中,已知,且

(1)试确定△ 的形状;

(2)求的范围.

查看答案和解析>>

科目:高中数学 来源:2015-2016学年浙江省温州市高二上学期期中考试数学试卷(解析版) 题型:选择题

已知实数满足,则的最大值是( )

A. B. C. D.

查看答案和解析>>

科目:高中数学 来源:2016届重庆市高三12月月考理科数学试卷(解析版) 题型:选择题

已知椭圆和双曲线有公共焦点,则双曲线的渐近线方程是( )

A. B. C. D.

查看答案和解析>>

同步练习册答案