精英家教网 > 高中数学 > 题目详情

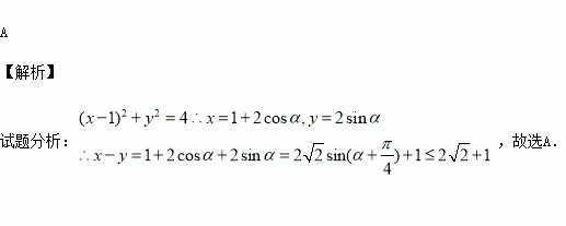
已知实数满足,则的最大值是( )

A. B. C. D.

练习册系列答案
相关习题

科目:高中数学 来源:2015-2016学年四川省高二上期中理科数学试卷(解析版) 题型:解答题

三角形ABC的三个顶点A(1,3)B(1,﹣3)C(3,3),求

(Ⅰ)BC边上中线AD所在直线的方程;

(Ⅱ)三角形ABC的外接圆O1的方程;

(Ⅲ)已知圆O2:,求圆心在x-y-4=0,且过圆O1与圆O2交点的圆的方程。

查看答案和解析>>

科目:高中数学 来源:2015-2016学年河北省邯郸市等校高二上学期期中文科数学试卷(解析版) 题型:选择题

在等差数列中,若,则的值为( )

A.20 B.22 C.24 D.28

查看答案和解析>>

科目:高中数学 来源:2015-2016学年湖北省等高二上学期期中联考文科数学试卷(解析版) 题型:解答题

从某企业生产的某种产品中抽取100件,测量这些产品的一项质量指标值,由测量表得如下频数分布表:

质量指标值分组

[75,85)

[85,95)

[95,105)

[105,115)

[115,125)

频数

4

16

40

32

8

(1)在答题卡上作出这些数据的频率分布直方图;(用阴影涂黑)

(2)估计这种产品质量指标值的平均数及中位数;

(3)根据以上抽样调查数据,能否认为该企业生产的这种产品符合“质量指标值不低于95的产品至少要占全部产品的75%”的规定?

查看答案和解析>>

科目:高中数学 来源:2015-2016学年浙江省温州市高二上学期期中考试数学试卷(解析版) 题型:解答题

已知过点且斜率为的直线与圆交于两点.

(1)求的取值范围;

(2)若,其中为坐标原点,求

查看答案和解析>>

科目:高中数学 来源:2015-2016学年江苏省沭阳县高一上学期期中考试数学试卷(解析版) 题型:填空题

已知函数,若,则=

查看答案和解析>>

科目:高中数学 来源:2015-2016学年湖北省襄阳市等高一上学期期中联考数学试卷(解析版) 题型:选择题

满足,且在上是增函数,若,则( )

A.

B.

C.

D.大小不确定

查看答案和解析>>

科目:高中数学 来源:2015-2016学年山东省枣庄市高二10月学情调查数学试卷(解析版) 题型:选择题

的内角所对的边分别为,若的形状为( )

A.锐角三角形 B.直角三角形 C.钝角三角形 D.不确定

查看答案和解析>>

科目:高中数学 来源:2016届山东省枣庄市高三12月月考文科数学试卷(解析版) 题型:选择题

若函数的图象如右图所示,则下列函数正确的是( )

A. B. C. D.

查看答案和解析>>

同步练习册答案