精英家教网 > 高中数学 > 题目详情

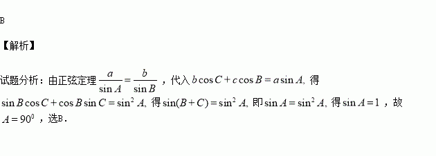
的内角所对的边分别为,若的形状为( )

A.锐角三角形 B.直角三角形 C.钝角三角形 D.不确定

练习册系列答案
相关习题

科目:高中数学 来源:2015-2016学年福建省高一上第二次月考数学试卷(解析版) 题型:选择题

下列函数是奇函数,且在定义域内是增函数的是( )

A. B. C. D.

查看答案和解析>>

科目:高中数学 来源:2015-2016学年浙江省温州市高二上学期期中考试数学试卷(解析版) 题型:选择题

已知实数满足,则的最大值是( )

A. B. C. D.

查看答案和解析>>

科目:高中数学 来源:2015-2016学年湖南省高二上学期期中考试文科数学试卷(解析版) 题型:填空题

若等比数列{an}的各项均为正数,且a10a11+a9a12=2e5,则ln a1+ln a2+…+ln a20=________.

查看答案和解析>>

科目:高中数学 来源:2015-2016学年湖南省高二上学期期中考试文科数学试卷(解析版) 题型:选择题

△ABC中,已知,则A的度数等于( )

A. B. C. D.

查看答案和解析>>

科目:高中数学 来源:2015-2016学年湖南株洲二中高二上第三次月考理数学卷(解析版) 题型:选择题

若曲线f(x)=x4-2x在点P处的切线垂直于直线x+2y+1=0,则点P的坐标为( )

A.(1,1) B.(1,-1) C.(-1,1) D.(-1,-1)

查看答案和解析>>

科目:高中数学 来源:2016届重庆市高三12月月考理科数学试卷(解析版) 题型:选择题

已知椭圆和双曲线有公共焦点,则双曲线的渐近线方程是( )

A. B. C. D.

查看答案和解析>>

科目:高中数学 来源:2016届辽宁省大连市高三12月月考理科数学试卷(解析版) 题型:选择题

若曲线与曲线存在公切线,则

A.最大值为

B.最大值为

C.最小值为

D.最小值为

查看答案和解析>>

科目:高中数学 来源:2016届福建省高三上学期期中文科数学试卷(解析版) 题型:选择题

执行如图所示的程序框图,输出的值为 ( )

A.1 B.2 C.7 D.15

查看答案和解析>>

同步练习册答案