精英家教网 > 高中数学 > 题目详情

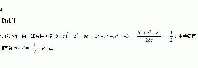
△ABC中,已知,则A的度数等于( )

A. B. C. D.

练习册系列答案
相关习题

科目:高中数学 来源:2015-2016学年湖南师大附中高二上第二次段测理科数学卷(解析版) 题型:选择题

设等差数列满足,且为其前n项和,则数列的最大项是( )

A. B. C. D.

查看答案和解析>>

科目:高中数学 来源:2015-2016学年浙江省温州市高二上学期期中考试数学试卷(解析版) 题型:解答题

已知过点且斜率为的直线与圆交于两点.

(1)求的取值范围;

(2)若,其中为坐标原点,求

查看答案和解析>>

科目:高中数学 来源:2015-2016学年湖北省襄阳市等高一上学期期中联考数学试卷(解析版) 题型:选择题

满足,且在上是增函数,若,则( )

A.

B.

C.

D.大小不确定

查看答案和解析>>

科目:高中数学 来源:2015-2016学年湖南省高二上学期期中考试文科数学试卷(解析版) 题型:填空题

不等式的解集为 .(用区间表示)

查看答案和解析>>

科目:高中数学 来源:2015-2016学年山东省枣庄市高二10月学情调查数学试卷(解析版) 题型:选择题

的内角所对的边分别为,若的形状为( )

A.锐角三角形 B.直角三角形 C.钝角三角形 D.不确定

查看答案和解析>>

科目:高中数学 来源:2016届重庆市高三12月月考理科数学试卷(解析版) 题型:解答题

如图,圆与圆内切于点,其半径分别为3与2,圆的弦交圆于点不在上),是圆的一条直径.

(1)求的值;

(2)若,求到弦的距离.

查看答案和解析>>

科目:高中数学 来源:2016届辽宁省大连市高三12月月考文科数学试卷(解析版) 题型:选择题

已知定义域为的奇函数的导函数为,当时,,若,则的大小关系正确的是( )

A. B. C. D.

查看答案和解析>>

科目:高中数学 来源:2016届福建省高三上学期期中文科数学试卷(解析版) 题型:解答题

设函数

(Ⅰ)证明: ; (Ⅱ)若,求的取值范围.

查看答案和解析>>

同步练习册答案