精英家教网 > 高中数学 > 题目详情

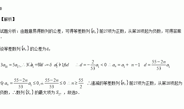
设等差数列满足,且为其前n项和,则数列的最大项是( )

A. B. C. D.

练习册系列答案
相关习题

科目:高中数学 来源:2016届黑龙江省齐齐哈尔市高三上期中理科数学试卷(解析版) 题型:选择题

对于函数 (其中,),选取的一组值计算

,所得出的正确结果一定不可能是( )

A.4和6 B.3和1 C.2和4 D.1和2

查看答案和解析>>

科目:高中数学 来源:2015-2016学年山东省高二上学情调查理科数学卷(解析版) 题型:选择题

“方程表示焦点在轴上的椭圆”的充分不必要条件是( )

A. B. C. D.

查看答案和解析>>

科目:高中数学 来源:2016届河北省高三上学期期中考试文科数学试卷(解析版) 题型:解答题

已知数列{an}是等比数列,首项a1=1,公比q>0,其前n项和为Sn,且S1+a1,S3+a3,S2+a2成等差数列.

(Ⅰ)求数列{an}的通项公式;

(Ⅱ)若数列{bn}满足,Tn为数列{bn}的前n项和,若Tn≥m恒成立,求m的最大值.

查看答案和解析>>

科目:高中数学 来源:2016届河北省高三上学期期中考试理科数学试卷(解析版) 题型:填空题

为锐角,若,则的值为______.

查看答案和解析>>

科目:高中数学 来源:2015-2016学年福建省高一上第二次月考数学试卷(解析版) 题型:选择题

下列函数是奇函数,且在定义域内是增函数的是( )

A. B. C. D.

查看答案和解析>>

科目:高中数学 来源:2015-2016学年湖北航天高中等校高二上学期期中联考数学试卷(解析版) 题型:选择题

学校组织学生参加英语测试,成绩的频率分布直方图如图,数据的分组依次是,,若低于60分的人数是15人,则该班的学生人数和平均成绩分别是( )

A.,67 B.50, 68 C. 55, 69 D.60,70

查看答案和解析>>

科目:高中数学 来源:2015-2016学年山东省高二上学期期中考试理科数学试卷(解析版) 题型:解答题

在△中,已知,且

(1)试确定△ 的形状;

(2)求的范围.

查看答案和解析>>

科目:高中数学 来源:2015-2016学年湖南省高二上学期期中考试文科数学试卷(解析版) 题型:选择题

△ABC中,已知,则A的度数等于( )

A. B. C. D.

查看答案和解析>>

同步练习册答案