精英家教网 > 高中数学 > 题目详情

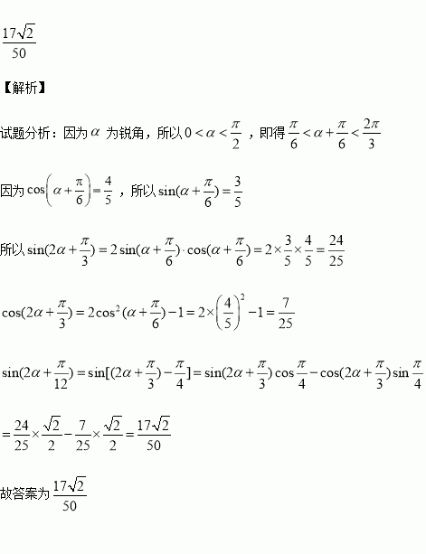
为锐角,若,则的值为______.

练习册系列答案
相关习题

科目:高中数学 来源:2016届黑龙江省齐齐哈尔市高三上期中理科数学试卷(解析版) 题型:解答题

设函数,其中,若且图象的两条对称轴间的最近距离是

(1)求函数的解析式;

(2)若是△的三个内角,且,求的取值范围.

查看答案和解析>>

科目:高中数学 来源:2015-2016学年山东省高二上学情调查理科数学卷(解析版) 题型:解答题

已知命题P:“”,q:“”,若“”是真命题,求实数a的取值范围.

查看答案和解析>>

科目:高中数学 来源:2015-2016学年四川省高二上期中理科数学试卷(解析版) 题型:选择题

若直线mx+ny+2=0(m>0,n>0)截得圆(x+3)2+(y+1)2=1的弦长为2,则 的最小值为( )

A.4 B.12 C.16 D.6

查看答案和解析>>

科目:高中数学 来源:2016届河北省高三上学期期中考试文科数学试卷(解析版) 题型:选择题

把函数的图象向左平移个单位,得到函数g(x)的图象,若g(x)的图象关于对称,则=( )

A. B. C. D.

查看答案和解析>>

科目:高中数学 来源:2015-2016学年湖南师大附中高二上第二次段测理科数学卷(解析版) 题型:选择题

设等差数列满足,且为其前n项和,则数列的最大项是( )

A. B. C. D.

查看答案和解析>>

科目:高中数学 来源:2016届浙江省临海市高三上第三次统练文科数学试卷(解析版) 题型:解答题

中,,斜边以直线为轴旋转得到,且二面角是直二面角,动点在斜边上。

(1)求证:平面平面

(2)当时,求异面直线所成角的正切值;

(3)求与平面所成最大角的正切值.

查看答案和解析>>

科目:高中数学 来源:2015-2016学年山东省高二上学期期中考试文科数学试卷(解析版) 题型:解答题

已知函数

(1)若,试求函数的最小值;

(2)对于任意的,不等式 成立,试求 的取值范围.

查看答案和解析>>

科目:高中数学 来源:2015-2016学年湖南省高二上学期期中考试文科数学试卷(解析版) 题型:填空题

不等式的解集为 .(用区间表示)

查看答案和解析>>

同步练习册答案