解:(Ⅰ)

PA = PD = 1 ,PD = 2 ,

PA
2 + AD
2 = PD
2, 即:PA

AD
又PA

CD , AD , CD 相交于点D,

PA

平面ABCD
(Ⅱ)过E作EG//PA 交AD于G,从而EG

平面ABCD,
且AG = 2GD , EG =

PA =

,
连接BD交AC于O, 过G作GH//OD ,交AC于H,连接EH.

GH

AC ,

EH

AC ,


EHG为二面角D-AC-E的平面角.

tan

EHG =

=

.

二面角D-AC-E的平面角的余弦值为

(Ⅲ)以AB , AD , PA为x轴、y轴、z轴建立空间直角坐标系.
则A(0 ,0, 0),B(1,0,0) ,C(1,1,0),P(0,0,1),E(0 ,

),

= (1,1,0),

= (0 ,

)
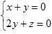
设平面AEC的法向量

= (x, y,z) ,
则

,即:

,
令y = 1 , 则

= (- 1,1, - 2 )
假设侧棱PC上存在一点F, 且

, (0≤λ≤1),
使得:BF//平面AEC,则

= 0.
又因为:

= (0 ,1,0)+ (-λ,-λ,λ)= (-λ,1-λ,λ),
∴
∴

所以存在PC的中点F, 使得BF//平面AEC.