精英家教网 > 高中数学 > 题目详情

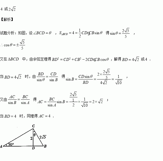
中,边上的一点,的面积为,则

的长为___________.

练习册系列答案
相关习题

科目:高中数学 来源:2016届辽宁省葫芦岛市高三上学期期中理科数学试卷(解析版) 题型:填空题

某几何体的三视图如右图,则此几何体的体积为

查看答案和解析>>

科目:高中数学 来源:2015-2016学年江西南昌二中高二上学期期中理科数学试卷(解析版) 题型:填空题

过圆上一点的切线方程:

查看答案和解析>>

科目:高中数学 来源:2015-2016学年吉林实验中学高二上学期期中文科数学试卷(解析版) 题型:填空题

若直线y=x+b与曲线y=有公共点,则b的取值范围是________.

查看答案和解析>>

科目:高中数学 来源:2015-2016学年吉林实验中学高二上学期期中理科数学试卷(解析版) 题型:解答题

(本小题12分)已知圆直线

(Ⅰ)求证:直线与圆C相交;

(Ⅱ)计算直线被圆截得的最短的弦长.

查看答案和解析>>

科目:高中数学 来源:2016届江西省南昌市高三上第四次考试理科数学试卷(解析版) 题型:解答题

已知向量

(Ⅰ)若,求的值;

(Ⅱ)若,求的值.

查看答案和解析>>

科目:高中数学 来源:2016届湖南省株洲市高三上期中理科数学试卷(解析版) 题型:选择题

一空间几何体的三视图如图所示,该几何体的 体积为,则正视图中x的值为( )

A.5 B.4 C.3 D.2

查看答案和解析>>

科目:高中数学 来源:2016届黑龙江省高三12月月考文科数学试卷(解析版) 题型:选择题

已知平面向量满足,且,则向量的夹角为( )

A. B. C. D.

查看答案和解析>>

科目:高中数学 来源:2016届黑龙江省哈尔滨市高三12月月考文科数学试卷(解析版) 题型:选择题

定义在R上的奇函数满足,当时,,则在区间内是( )

A.减函数且 B.减函数且

C.增函数且 D.增函数且

查看答案和解析>>

同步练习册答案