精英家教网 > 高中数学 > 题目详情
椭圆E经过点A(2,3),对称轴为坐标轴,焦点F1,F2在x轴上,离心率e=
(Ⅰ)求椭圆E的方程;
(Ⅱ)求∠F1AF2的角平分线所在直线的方程.

【答案】分析:(Ⅰ)设椭圆方程为+=1,把点A(2,3)代入椭圆方程,把离心率e=用a,c表示,再根据b2=a2-c2,求出a2,b2,得椭圆方程;
(Ⅱ)可以设直线l上任一点坐标为(x,y),根据角平分线上的点到角两边距离相等得=|x-2|.
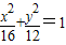
解答:解:(Ⅰ)设椭圆E的方程为
+=1
由e=,得,b2=a2-c2=3c2,∴
将A(2,3)代入,有,解得:c=2,
∴椭圆E的方程为
(Ⅱ)由(Ⅰ)知F1(-2,0),F2(2,0),所以直线AF1的方程为y=(x+2),
即3x-4y+6=0,直线AF2的方程为x=2,由椭圆E的图形知,∠F1AF2的角平分线所在直线的斜率为正数
设P(x,y)为∠F1AF2的角平分线所在直线上任一点,则有=|x-2|
若3x-4y+6=-5x+10,得x+2y-8=0,其斜率为负,不合题意,舍去.
于是3x-4y+6=10-5x,即2x-y-1=0.
所以,∠F1AF2的角平分线所在直线的方程为2x-y-1=0
点评:对于椭圆解答题,一般都是设椭圆方程为+=1,根据题目满足的条件求出a2,b2,得椭圆方程,这一问通常比较简单;(2)对于角平分线问题,利用角平分线的几何意义,即角平分线上的点到角两边距离相等得方程.
练习册系列答案
相关习题

科目:高中数学 来源: 题型:

精英家教网椭圆E经过点A(2,3),对称轴为坐标轴,焦点F1,F2在x轴上,离心率e=
12

(Ⅰ)求椭圆E的方程;
(Ⅱ)求∠F1AF2的角平分线所在直线的方程.

查看答案和解析>>

科目:高中数学 来源: 题型:

已知椭圆E经过点A(2,3),对称轴为坐标轴,焦点F1,F2在x轴上,离心率e=
12

(1)求椭圆E的方程;
(2)求∠F1AF2的平分线所在直线l的方程;
(3)在椭圆E上是否存在关于直线l对称的相异两点?若存在,请找出;若不存在,说明理由.

查看答案和解析>>

科目:高中数学 来源:2013届吉林省高二期中考试文科数学试卷(解析版) 题型:解答题

如图,已知椭圆E经过点A(2,3),对称轴为坐标轴,焦点在x轴上,离心率

(1)求椭圆E的方程;

(2)求的角平分线所在直线的方程.

 

查看答案和解析>>

科目:高中数学 来源:2012-2013学年广东省广州市越秀区高三(上)摸底数学试卷(理科)(解析版) 题型:解答题

椭圆E经过点A(2,3),对称轴为坐标轴,焦点F1,F2在x轴上,离心率e=
(Ⅰ)求椭圆E的方程;
(Ⅱ)求∠F1AF2的角平分线所在直线的方程.

查看答案和解析>>

科目:高中数学 来源:2011年高三数学单元检测:圆锥曲线(2)(解析版) 题型:解答题

椭圆E经过点A(2,3),对称轴为坐标轴,焦点F1,F2在x轴上,离心率e=
(Ⅰ)求椭圆E的方程;
(Ⅱ)求∠F1AF2的角平分线所在直线的方程.

查看答案和解析>>

同步练习册答案