精英家教网 > 高中数学 > 题目详情
已知函数是定义在R上的不恒为零的函数,且对于任意的a、b∈R,都满足,若
(1)求的值;
(2)猜测数列的通项公式,并用数学归纳法证明。
解:(1)


(2)由(1)猜测:
当n=1时,左边=,右边=,左边=右边,
∴n=1时,命题成立;
假设n=k时,命题成立,即:
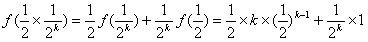
则n=k+1时,
左边=
      
∴n=k+1时,命题成立。
综上可知:对任意n∈N*,都有
所以,
练习册系列答案
相关习题

科目:高中数学 来源: 题型:

已知函数是定义在R上的偶函数,已知x≥0时,f(x)=-x+1,则f(x)的解析式为
 

查看答案和解析>>

科目:高中数学 来源: 题型:

已知函数是定义在R上的奇函数,当x>0时,f(x)=x2-x,则f(-3)=(  )

查看答案和解析>>

科目:高中数学 来源:2012-2013学年浙江省绍兴一中高二下学期期中考试理科数学试卷(带解析) 题型:填空题

已知函数是定义在R上的奇函数,且当时不等式成立, 若 ,则的大小关系是    

查看答案和解析>>

科目:高中数学 来源:2014届山东省高一上学期12月月考数学 题型:填空题

已知函数是定义在R上的增函数,且,则m的取值范围是           .

 

查看答案和解析>>

科目:高中数学 来源:2010-2011年湖北省襄阳四校高二第二学期期中考试文数 题型:填空题

 

 已知函数是定义在R上的奇函数,

则不等式  的解集是               .

 

查看答案和解析>>

同步练习册答案