精英家教网 > 高中数学 > 题目详情
已知A、B分别是直线上的两个动点,线段AB的长为,P是AB的中点.
(1)求动点P的轨迹C的方程;
(2)过点Q(1,0)作直线l(与x轴不垂直)与轨迹C交于M、N两点,与y轴交于点R.若,证明:λ+μ为定值.
【答案】分析:(1)设P(x,y),A(x1,y1),B(x2,y2).P是线段AB的中点,A、B分别是直线上的点,.再由知动点P的轨迹C的方程为
(2)依题意,直线l的斜率存在,故可设直线l的方程为y=k(x-1).设M(x3,y3)、N(x4,y4)、R(0,y5),则M、N两点坐标满足方程组消去y并整理,得(1+9k2)x2-18k2x+9k2-9=0,然后利用根与系数的关系进行求解.
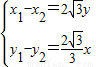
解答:解:(1)设P(x,y),A(x1,y1),B(x2,y2).
∵P是线段AB的中点,∴(2分)
∵A、B分别是直线上的点,

(4分)
,∴(x1-x22+(y1-y22=12.(5分)

∴动点P的轨迹C的方程为.(6分)
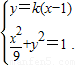
(2)依题意,直线l的斜率存在,故可设直线l的方程为y=k(x-1).(7分)
设M(x3,y3)、N(x4,y4)、R(0,y5),
则M、N两点坐标满足方程组
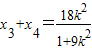
消去y并整理,得(1+9k2)x2-18k2x+9k2-9=0,(9分)
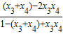
,①.②(10分)
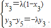
,∴(x3,y3)-(0,y5)=λ[(1,0)-(x3,y3)].

∴x3=λ(1-x3).∵l与x轴不垂直,∴x3≠1,

同理.(12分)
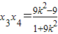
=
将①②代入上式可得.(14分)
点评:本题主要考查直线与椭圆的有关知识、求轨迹方程的方法,以及运算求解和推理论证能力.
练习册系列答案
相关习题

科目:高中数学 来源: 题型:

已知A、B分别是直线y=
3
3
x
y=-
3
3
x
上的两个动点,线段AB的长为2
3
,D是AB的中点.
(1)求动点D的轨迹C的方程;
(2)过点N(1,0)作与x轴不垂直的直线l,交曲线C于P、Q两点,若在线段ON上存在点M(m,0),使得以MP、MQ为邻边的平行四边形是菱形,试求m的取值范围.

查看答案和解析>>

科目:高中数学 来源: 题型:

已知A、B分别是直线y=
3
3
x
y=-
3
3
x
上的两个动点,线段AB的长为2
3
,P是AB的中点.
(1)求动点P的轨迹C的方程;
(2)过点Q(1,0)作直线l(与x轴不垂直)与轨迹C交于M、N两点,与y轴交于点R.若
RM
MQ
RN
NQ
,证明:λ+μ为定值.

查看答案和解析>>

科目:高中数学 来源: 题型:

已知A,B分别是直线y=x和y=-x上的两个动点,线段AB的长为2
3
,D是AB的中点.
(1)求动点D的轨迹C的方程;
(2)若过点(1,0)的直线l与曲线C交于不同两点P、Q,
①当|PQ|=3时,求直线l的方程;
②设点E(m,0)是x轴上一点,求当
PE
QE
恒为定值时E点的坐标及定值.

查看答案和解析>>

科目:高中数学 来源: 题型:

已知A,B分别是直线y=x和y=-x上的两个动点,线段AB的长为2
3
,D是AB的中点.
(1)求动点D的轨迹C的方程;
(2)若过点(1,0)的直线l与曲线C交于不同两点P、Q,
①当|PQ|=3时,求直线l的方程;
②试问在x轴上是否存在点E(m,0),使
PE
QE
恒为定值?若存在,求出E点的坐标及定值;若不存在,请说明理由.

查看答案和解析>>

科目:高中数学 来源: 题型:

已知A、B分别是直线y=
3
3
x
y=-
3
3
x
上的两个动点,线段AB的长为2
3
,P是AB的中点.
(1)求动点P的轨迹C的方程;
(2)过点Q(1,0)任意作直线l(与x轴不垂直),设l与(1)中轨迹C交于M、N,与y轴交于R点.若
RM
MQ
RN
NQ
,证明:λ+μ 为定值.

查看答案和解析>>

同步练习册答案