精英家教网 > 高中数学 > 题目详情

以双曲线的焦点为顶点,顶点为焦点的椭圆标准方程为(   )

A.     B.     C.      D.

 

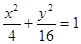
【答案】

D

【解析】

试题分析:由双曲线的方程可知,其焦点坐标为,顶点坐标为,所以所求椭圆的顶点为,焦点坐标为,所以,其标准方程为,故选D.

考点:本题考查的知识点是椭圆与双曲线的标准方程,以及几何性质,解题时要注意区分双曲线和椭圆的基本性质.

 

练习册系列答案
相关习题

科目:高中数学 来源: 题型:

以双曲线的焦点为顶点,顶点为焦点的椭圆方程为

A.                                        B.

C.                                        D.

查看答案和解析>>

科目:高中数学 来源:2014届四川成都六校协作体高二下学期期中考试理科数学试卷(解析版) 题型:选择题

以双曲线的焦点为顶点,顶点为焦点的椭圆的标准方程是

A.                           B.

C.                           D.

 

查看答案和解析>>

科目:高中数学 来源:2012-2013学年河北省高二第三次月考文科数学试卷(解析版) 题型:解答题

(12分)已知椭圆C:以双曲线的焦点为顶点,其离心率与双曲线的离心率互为倒数.

(1)求椭圆C的方程;

(2)若椭圆C的左、右顶点分别为点A,B,点M是椭圆C上异于A,B的任意一点.

①求证:直线MA,MB的斜率之积为定值;

②若直线MA,MB与直线x=4分别交于点P,Q,求线段PQ长度的最小值.

 

查看答案和解析>>

科目:高中数学 来源:2014届辽宁省分校高二12月月考理科数学试题(解析版) 题型:解答题

点A、B分别是以双曲线的焦点为顶点,顶点为焦点的椭圆C长轴的左、右端点,点F是椭圆的右焦点,点P在椭圆C上,且位于x轴上方, 

(1)求椭圆C的的方程;

(2)求点P的坐标;

(3)设M是椭圆长轴AB上的一点,点M到直线AP的距离等于|MB|,求椭圆上的点到M的距离d的最小值。

 

查看答案和解析>>

科目:高中数学 来源:2011-2012学年广东省四会市高三第三次统测文科数学 题型:解答题

(本小题满分14分)

已知椭圆以坐标原点为中心,坐标轴为对称轴,且该椭圆以抛物线的焦点为其一个焦点,以双曲线的焦点为顶点。

(1)求椭圆的标准方程;

(2)已知点,且C、D分别为椭圆的上顶点和右顶点,点M是线段CD上的动点,求的取值范围。

 

查看答案和解析>>

同步练习册答案