精英家教网 > 高中数学 > 题目详情

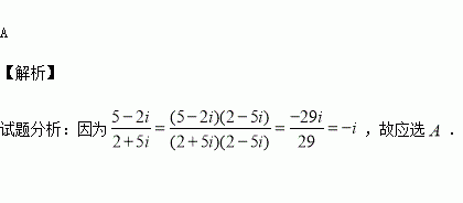
是虚数单位,复数( )

A. B. C. D.

练习册系列答案
相关习题

科目:高中数学 来源:2016届甘肃省高三12月月考理科数学试卷(解析版) 题型:填空题

已知数列为等差数列,,则

查看答案和解析>>

科目:高中数学 来源:2016届河北省高三上学期期中数学试卷(解析版) 题型:选择题

已知,则的值是

A. B. C. D.

查看答案和解析>>

科目:高中数学 来源:2016届辽宁省抚顺市高三12月月考理科数学试卷(解析版) 题型:选择题

中,的三等分点,则( )

A. B. C. D.

查看答案和解析>>

科目:高中数学 来源:2016届湖南师大附中高三月考四文科数学试卷(解析版) 题型:选择题

已知命题;命题直线与直线垂直.则命题是命题成立的( )

A.充要条件

B.既非充分又非必要条件

C.必要不充分条件

D.充分不必要条件

查看答案和解析>>

科目:高中数学 来源:2016届福建省高三上学期期中文科数学试卷(解析版) 题型:选择题

已知数列的前项和,则( )

A. B. C. D.

查看答案和解析>>

科目:高中数学 来源:2015-2016学年江西省吉安市高二上期中文科数学试卷(解析版) 题型:选择题

命题“”的否定是( )

A.

B.

C.

D.

查看答案和解析>>

科目:高中数学 来源:2015-2016学年广西省钦州市钦南区高二上学期期中考试理科数学试卷(解析版) 题型:解答题

已知数列的前项和满足:,且

(1)求

(2)猜想的通项公式,并用数学归纳法证明

查看答案和解析>>

科目:高中数学 来源:2016届浙江省绍兴市高三上学期期中理科数学试卷(解析版) 题型:解答题

已知椭圆的离心率为,其长轴长与短轴长的和等于6.

(1)求椭圆的方程;

(2)如图,设椭圆的上、下顶点分别为是椭圆上异于的任意一点,直线分别交轴于点,若直线与过点的圆相切,切点为,证明:线段的长为定值.

查看答案和解析>>

同步练习册答案