精英家教网 > 高中数学 > 题目详情

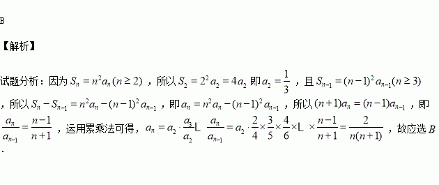
已知数列的前项和,则( )

A. B. C. D.

练习册系列答案
相关习题

科目:高中数学 来源:2016届福建省高三上学期半期考试文科数学试卷(解析版) 题型:填空题

在平面直角坐标系xoy中,点F为抛物线的焦点,则F到双曲线的渐近线的距离为

查看答案和解析>>

科目:高中数学 来源:2016届山东省高三11月月考数学试卷(解析版) 题型:选择题

函数在区间上的图像如图所示,则可能是( )

(A)4 (B) 3 (C) 2 (D)1

查看答案和解析>>

科目:高中数学 来源:2016届湖南师大附中高三月考四文科数学试卷(解析版) 题型:选择题

已知定义在上的函数满足,当时,,则( )

A.

B.

C.

D.

查看答案和解析>>

科目:高中数学 来源:2016届湖南省长沙市高三第一次月考文科数学试卷(解析版) 题型:选择题

是虚数单位,复数( )

A. B. C. D.

查看答案和解析>>

科目:高中数学 来源:2015-2016学年江西省吉安市高二上期中文科数学试卷(解析版) 题型:解答题

三棱锥的侧棱PA、PB、PC两两互相垂直,且,则三棱锥的外接球的体积是( )

A. B. C. D.

查看答案和解析>>

科目:高中数学 来源:2015-2016学年江西省吉安市高二上期中理科数学试卷(解析版) 题型:选择题

命题“”的否定是( )

A.

B.

C.

D.

查看答案和解析>>

科目:高中数学 来源:2015-2016学年广东省清远市实验学校高一上学期期中数学试卷(解析版) 题型:填空题

已知偶函数上单调递减,且.若,则x的取值范围是

查看答案和解析>>

科目:高中数学 来源:2016届山西省高三10月月考文科数学试卷(解析版) 题型:解答题

某校高三年级文科学生600名,从参加期末考试的学生中随机抽出某班学生(该班共50名同学),并统计了他们的数学成绩(成绩均为整数且满分为150分),数学成绩分组及各组频数如下表:

分组

频数

频率

[45,60)

2

0.04

[60,75)

4

0.08

[75,90)

8

0.16

[90,105)

11

0.22

[105,120)

15

0.30

[120,135)

a

b

[135,150]

4

0.08

合计

50

1

(1)写出的值;

(2)估计该校文科生数学成绩在120分以上学生人数;

(3)该班为提高整体数学成绩,决定成立“二帮一”小组,即从成绩在[135,150]中选两位同学,来帮助成绩在[45,60)中的某一位同学.已知甲同学的成绩为56分, 乙同学的成绩为145分,求甲乙在同一小组的概率.

查看答案和解析>>

同步练习册答案