精英家教网 > 高中数学 > 题目详情

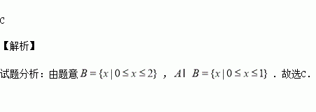
已知集合,则( )

A. B.

C. D.

练习册系列答案
相关习题

科目:高中数学 来源:2015-2016学年河北邢台一中高二下期中文科数学试卷(解析版) 题型:选择题

命题p:若a,b∈R,则|a|+|b|>1是|a+b|>1的充分而不必要条件.命题q:函数的定义域是(-∞,-1]∪[3,+∞)则( )

A.“p或q”为假 B.“p且q”为真 C.p真q假 D.p假q真

查看答案和解析>>

科目:高中数学 来源:2015-2016学年重庆一中高一下学期期中数学试卷(解析版) 题型:选择题

已知 ,则下列结论正确的是( )

A.为偶函数 B.为增函数

C.为周期函数 D.值域为

查看答案和解析>>

科目:高中数学 来源:2015-2016学年重庆巴蜀中学高二下期中文科数学试卷(解析版) 题型:填空题

如图所示,过外一点作一条直线与交于两点,已知,点的切线长,则弦的长为

查看答案和解析>>

科目:高中数学 来源:2015-2016学年重庆巴蜀中学高二下期中文科数学试卷(解析版) 题型:选择题

已知某几何体的正视图和侧视图如图所示,则该几何体的俯视图不可能为( )

查看答案和解析>>

科目:高中数学 来源:2015-2016学年重庆巴蜀中学高二下期中理科数学试卷(解析版) 题型:解答题

一工厂对某条生产线加工零件所花费时间进行统计,得到如下表的数据:

(1)从加工时间的五组数据中随机选择两组数据,求该两组数据都小于加工时间的均值的概率;

(2)若加工时间与零件数具有相关关系,求关于的回归直线方程;

(3)若需加工个零件,根据回归直线预测其需要多长时间.

()

查看答案和解析>>

科目:高中数学 来源:2015-2016学年重庆巴蜀中学高二下期中理科数学试卷(解析版) 题型:选择题

如图,网络纸上小正方形的边长为,粗实线及粗虚线画出的是某多面体的三视图,则该多面体的体积为( )

A. B. C. D.

查看答案和解析>>

科目:高中数学 来源:2015-2016学年福建上杭一中高二下培优补差理科数学试卷(解析版) 题型:填空题

已知方程,则这个方程有 组正整数解.

查看答案和解析>>

科目:高中数学 来源:2015-2016学年新疆兵团农二师华山中学高二下学前考试理科数学试卷(解析版) 题型:解答题

如图,四棱锥P—ABCD中,PD底面ABCD,AB//DC,ADDC,AB=AD=1,DC=2,PD=,M为棱PB的中点.

(1)证明:DM平面PBC;

(2)求二面角A—DM—C的余弦值.

查看答案和解析>>

同步练习册答案