精英家教网 > 高中数学 > 题目详情

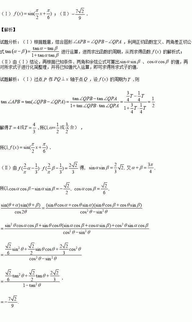
已知函数的部分图像如图所示,其中为函数图像的最高点,是函数图像与轴的相邻两个交点,且

(Ⅰ)求函数的解析式;

(Ⅱ)已知角满足:,且的值.

练习册系列答案
相关习题

科目:高中数学 来源:2016届海南省高三高考模拟三理科数学试卷(解析版) 题型:解答题

如图,是圆的直径,点是弦的中点,直线交圆于点,过点于点,交圆于点,交于点,若.

(1)证明:

(2)若圆的半径为,求的长.

查看答案和解析>>

科目:高中数学 来源:2016届海南省高三高考模拟三文科数学试卷(解析版) 题型:选择题

阅读如图所示程序框图,运行相应的程序,若输入的值为-5,则输出的值是( )

A.-1 B.1 C.2 D.

查看答案和解析>>

科目:高中数学 来源:2016届黑龙江省高三下四模理科数学试卷(解析版) 题型:选择题

已知函数则关于函数的零点个数的判断正确的是( )

A.当时,有3个零点;当时,有2个零点;

B.当时,有4个零点;当时,有1个零点;

C.无论为何值,均有2个零点;

D.无论为何值,均有4个零点.

查看答案和解析>>

科目:高中数学 来源:2016届黑龙江省高三下四模理科数学试卷(解析版) 题型:选择题

直线与圆)交于两点,且弦的中点为,则直线的方程是( )

A. B. C. D.

查看答案和解析>>

科目:高中数学 来源:2015-2016学年重庆八中高一下期中数学试卷(解析版) 题型:解答题

已知等差数列满足:的前项和为

(Ⅰ)求

(Ⅱ)令,求证:数列为等差数列.

查看答案和解析>>

科目:高中数学 来源:2015-2016学年重庆八中高一下期中数学试卷(解析版) 题型:选择题

中,内角对的边分别为.若,则的取值范围为( )

A. B. C. D.

查看答案和解析>>

科目:高中数学 来源:2016届山东省高三最后一模文科数学试卷(解析版) 题型:填空题

四边形中,,则的最小值为

查看答案和解析>>

科目:高中数学 来源:2015-2016学年江西玉山一中高一下第三次考试文科数学卷(解析版) 题型:填空题

已知函数,数列的通项由确定,____________

查看答案和解析>>

同步练习册答案