精英家教网 > 高中数学 > 题目详情

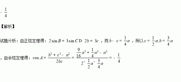
中,内角所对的边分别是.已知,则的值为_______.

练习册系列答案
相关习题

科目:高中数学 来源:2016届河南省郑州市高三上学期联考文科数学试卷(解析版) 题型:选择题

一个几何体的三视图如图所示,则这个几何体的外接球的体积为( )

A. B. C. D.

查看答案和解析>>

科目:高中数学 来源:2015-2016学年江苏省无锡市四校高一上学期期中考试数学试卷(解析版) 题型:填空题

已知函数的零点,且,则

查看答案和解析>>

科目:高中数学 来源:2015-2016年湖北武汉华中师大一附高二上期中文科数学卷(解析版) 题型:填空题

在直角坐标系中,直线l的参数方程为为参数) .以原点O为极点,以x轴的非负半轴为极轴建立极坐标系,曲线C的极坐标方程为,则直线l和曲线C的公共点有____________个.

查看答案和解析>>

科目:高中数学 来源:2016上海复旦大学附中届高三上期中文科数学试卷(解析版) 题型:填空题

已知圆锥的母线长为,侧面积为,则此圆锥的体积为________

查看答案和解析>>

科目:高中数学 来源:2016届河北省高三上学期四调文科数学试卷(解析版) 题型:填空题

已知函数,则

查看答案和解析>>

科目:高中数学 来源:2016届河北省高三上学期四调理科数学试卷(解析版) 题型:选择题

已知不等式对任意实数都成立,则常数的最小值为( )

A. B. C. D.

查看答案和解析>>

科目:高中数学 来源:2015-2016学年湖北武汉华中师大一附高一上期中数学试卷(解析版) 题型:选择题

已知上是关于的减函数,则实数的取值范围是( )

A. B. C. D.

查看答案和解析>>

科目:高中数学 来源:2016届湖北武汉华中师大一附等高三上第一次联考文数学卷(解析版) 题型:填空题

已知平面直角坐标系中,角终边过点,则的值为

查看答案和解析>>

同步练习册答案