精英家教网 > 高中数学 > 题目详情

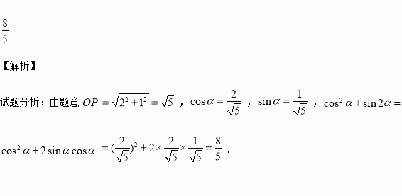
已知平面直角坐标系中,角终边过点,则的值为

练习册系列答案
相关习题

科目:高中数学 来源:2016上海复旦大学附中届高三上期中理科数学试卷(解析版) 题型:填空题

中,内角所对的边分别是.已知,则的值为_______.

查看答案和解析>>

科目:高中数学 来源:2016届宁夏六盘山高中高三上学期第二次月考文科数学试卷(解析版) 题型:选择题

下列函数中,在区间上是减函数的是( )

A、 B、 C、 D、

查看答案和解析>>

科目:高中数学 来源:2016届湖南省株洲市高三上学期期中文科数学试卷(解析版) 题型:解答题

已知函数

(1)求函数的最小正周期和对称轴方程;

(2)将的图像左移个单位,再向上移1个单位得到的图像,试求在区间的值域.

查看答案和解析>>

科目:高中数学 来源:2016届湖南省株洲市高三上学期期中理科数学试卷(解析版) 题型:选择题

已知正项等比数列满足:,若存在两项使得,则的最小值为( )

A、 B、 C、 D、

查看答案和解析>>

科目:高中数学 来源:2016届湖北武汉华中师大一附等高三上第一次联考理数学卷(解析版) 题型:解答题

如图,已知长方形中,的中点.将沿折起,使得平面平面

(1)求证:

(2)若点是线段上的一动点,问点在何位置时,二面角的余弦值为

查看答案和解析>>

科目:高中数学 来源:2016届福建省高三上学期期中考理科数学试卷(解析版) 题型:选择题

已知函数,设两曲线有公共点,且在该点处的切线相同,则时,实数的最大值是( )

A. B. C. D.

查看答案和解析>>

科目:高中数学 来源:2015-2016学年湖南师大附中高二上学期期中文科数学试卷(解析版) 题型:选择题

在等差数列中,首项 公差 ,则项数n为( )

A.13 B.14 C.15 D.16

查看答案和解析>>

科目:高中数学 来源:2016届湖南师范大学附中高三上学期月考三理科数学试卷(解析版) 题型:填空题

已知数列为等差数列,其前项和为,且.若存在最大值,则满足的最大值为

查看答案和解析>>

同步练习册答案