精英家教网 > 高中数学 > 题目详情

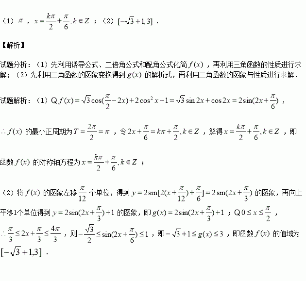
已知函数

(1)求函数的最小正周期和对称轴方程;

(2)将的图像左移个单位,再向上移1个单位得到的图像,试求在区间的值域.

练习册系列答案
相关习题

科目:高中数学 来源:2015-2016年湖北武汉华中师大一附高二上期中文科数学卷(解析版) 题型:填空题

在直角坐标系中,直线l的参数方程为为参数) .以原点O为极点,以x轴的非负半轴为极轴建立极坐标系,曲线C的极坐标方程为,则直线l和曲线C的公共点有____________个.

查看答案和解析>>

科目:高中数学 来源:2015-2016学年湖北武汉华中师大一附高一上期中数学试卷(解析版) 题型:选择题

已知上是关于的减函数,则实数的取值范围是( )

A. B. C. D.

查看答案和解析>>

科目:高中数学 来源:2016届宁夏六盘山高中高三上学期第二次月考理科数学试卷(解析版) 题型:解答题

设函数

(1)求的最大值,并写出使取最大值时的集合;

(2)已知中,角的对边分别为,若,求的最小值.

查看答案和解析>>

科目:高中数学 来源:2016届江苏省高三上学期周练数学试卷(解析版) 题型:填空题

若函数与函数的定义域为,它们在同一点有相同的最小值,则

查看答案和解析>>

科目:高中数学 来源:2016届湖南省株洲市高三上学期期中理科数学试卷(解析版) 题型:解答题

已知数列为等差数列,,其前和为,数列为等比数列,且对任意的恒成立.

(1)求数列的通项公式;

(2)是否存在,使得成立,若存在,求出所有满足条件的;若不存在,说明理由.

查看答案和解析>>

科目:高中数学 来源:2016届湖北武汉华中师大一附等高三上第一次联考文数学卷(解析版) 题型:填空题

已知平面直角坐标系中,角终边过点,则的值为

查看答案和解析>>

科目:高中数学 来源:2015-2016学年浙江省高一上学期期中数学试卷(解析版) 题型:填空题

已知函数若关于的方程有6个不同的实根,则实数的取值范围是

查看答案和解析>>

科目:高中数学 来源:2016届四川省成都市高三11月阶段测试理科数学试卷(解析版) 题型:填空题

已知,则的最小值为

查看答案和解析>>

同步练习册答案