精英家教网 > 高中数学 > 题目详情

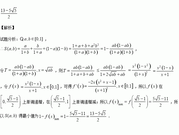
已知,则的最小值为

练习册系列答案
相关习题

科目:高中数学 来源:2016届湖南省株洲市高三上学期期中文科数学试卷(解析版) 题型:解答题

已知函数

(1)求函数的最小正周期和对称轴方程;

(2)将的图像左移个单位,再向上移1个单位得到的图像,试求在区间的值域.

查看答案和解析>>

科目:高中数学 来源:2015-2016学年湖南师大附中高二上学期期中文科数学试卷(解析版) 题型:选择题

在等差数列中,首项 公差 ,则项数n为( )

A.13 B.14 C.15 D.16

查看答案和解析>>

科目:高中数学 来源:2014-2015学年贵州省高二上学期半期考试文科数学试卷(解析版) 题型:选择题

已知命题,则( ).

A.

B.

C.

D.

查看答案和解析>>

科目:高中数学 来源:2016届四川省成都市高三11月阶段测试文科数学试卷(解析版) 题型:解答题

的三个内角A,B,C所对的边长分别为a,b,c. 平面向量,且

(1)求角的大小;

(2)当时,求函数的值域.

查看答案和解析>>

科目:高中数学 来源:2016届湖南师范大学附中高三上学期月考三文科数学试卷(解析版) 题型:解答题

已知抛物线的焦点为,直线轴的交点为,与抛物线的交点为,且.已知椭圆的右焦点与抛物线的焦点重合,且离心率为

(1)求抛物线和椭圆的方程;

(2)若过椭圆的右焦点的直线与椭圆交于两点,求三角形为坐标原点)的面积的最大值.

查看答案和解析>>

科目:高中数学 来源:2016届湖南师范大学附中高三上学期月考三理科数学试卷(解析版) 题型:填空题

已知数列为等差数列,其前项和为,且.若存在最大值,则满足的最大值为

查看答案和解析>>

科目:高中数学 来源:2016届福建省高三上学期半期考试文科数学试卷(解析版) 题型:解答题

已知椭圆的焦距为,离心率为

(Ⅰ)求椭圆方程;

(Ⅱ)设过椭圆顶点B(0,b),斜率为k的直线交椭圆于另一点D,交x轴于点E,且|BD|,|BE|,|DE|成等比数列,求的值.

查看答案和解析>>

科目:高中数学 来源:2016届山东省高三11月月考数学试卷(解析版) 题型:选择题

设函数分别是上的偶函数和奇函数,则下列结论恒成立的是

A. 是偶函数

B. 是奇函数

C. 是偶函数

D. 是奇函数

查看答案和解析>>

同步练习册答案